mp-581864-2/CsAsSe2/anharm

Equation of state

../../_images/fig_bm3437.png

(a) Equation of state

Harmonic properties

../../_images/fig_bandos_pr6481.png

(a) Phonon dispersion with participation ratio and DOS

../../_images/fig_thermo6481.png

(b) Thermodynamic properties

Grüneisen parameters

../../_images/fig_gru_all2648.png

(a) Grüneisen parameters

../../_images/fig_gruneisen2648.png

(b) Phonon dispersion with Grüneisen parameters

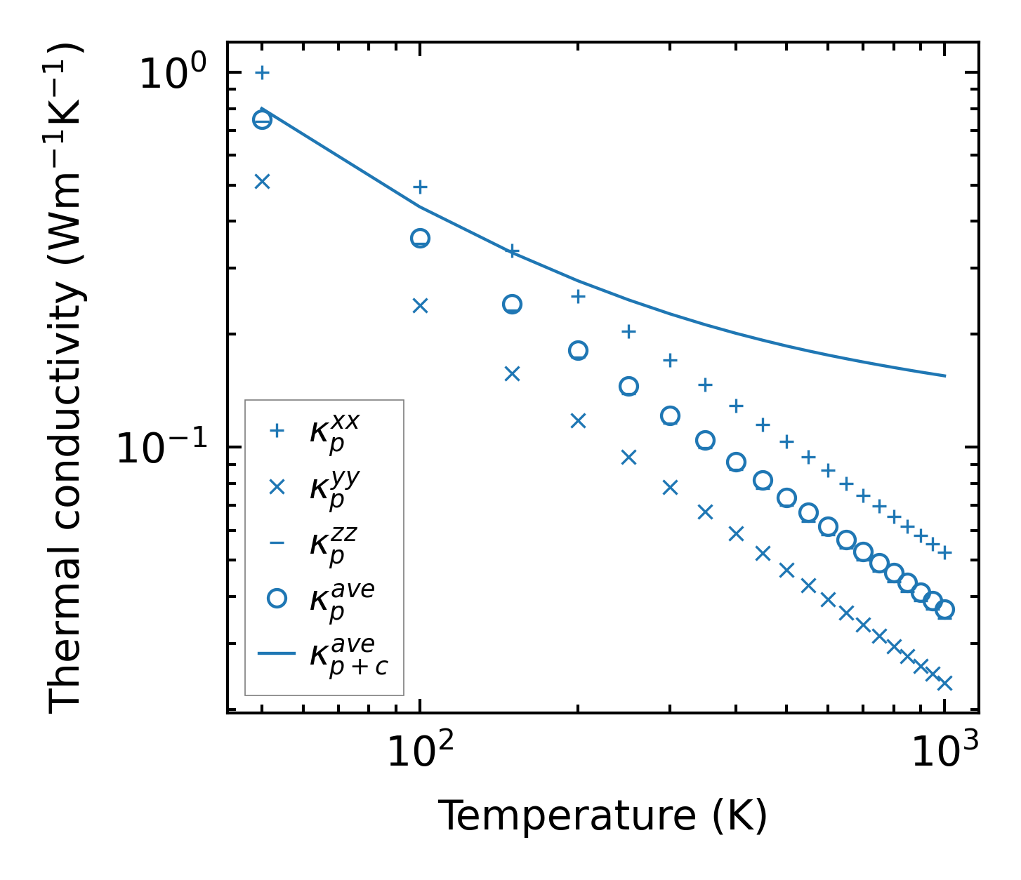
Thermal conductivity

3-phonon (LASSO) — q-mesh: 10x5x6, supercell: 2x1x2

../../_images/fig_kappa5034.png

(a) Temperature-dependent lattice thermal conductivity

../../_images/fig_kappa_vs_grain_size2684.png

(b) Peierls lattice thermal conductivity w.r.t grain size

Phonon lifetime and scattering rates

../../_images/fig_lifetime2625.png

(a) Phonon lifetime due to phonon-phonon scattering

../../_images/fig_scat_rates2624.png

(b) Phonon scattering rates

Cumulative and spectral thermal conductivity

../../_images/fig_cumu_frequency2625.png

(a) Spectral and cumulative thermal conductivity w.r.t frequency

../../_images/fig_cumu_mfp2624.png

(b) Spectral and cumulative thermal conductivity w.r.t MFP

Force constants

../../_images/fig_fc26271.png

(a) Force constants w.r.t atomic distance

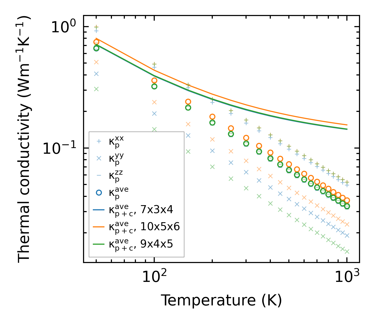
Summary

../../_images/fig_kappa5035.png

(a) Temperature-dependent lattice thermal conductivity

../../_images/fig_times11657.png

(b) Computation time