mp-581162/Li3VO4/anharm

Harmonic properties

../../_images/fig_bandos_pr6761.png

(a) Phonon dispersion with participation ratio and DOS

../../_images/fig_thermo6761.png

(b) Thermodynamic properties

Grüneisen parameters

../../_images/fig_gru_all2773.png

(a) Grüneisen parameters

../../_images/fig_gruneisen2773.png

(b) Phonon dispersion with Grüneisen parameters

Thermal conductivity

3-phonon (LASSO) — q-mesh: 6x11x14, supercell: 1x2x2

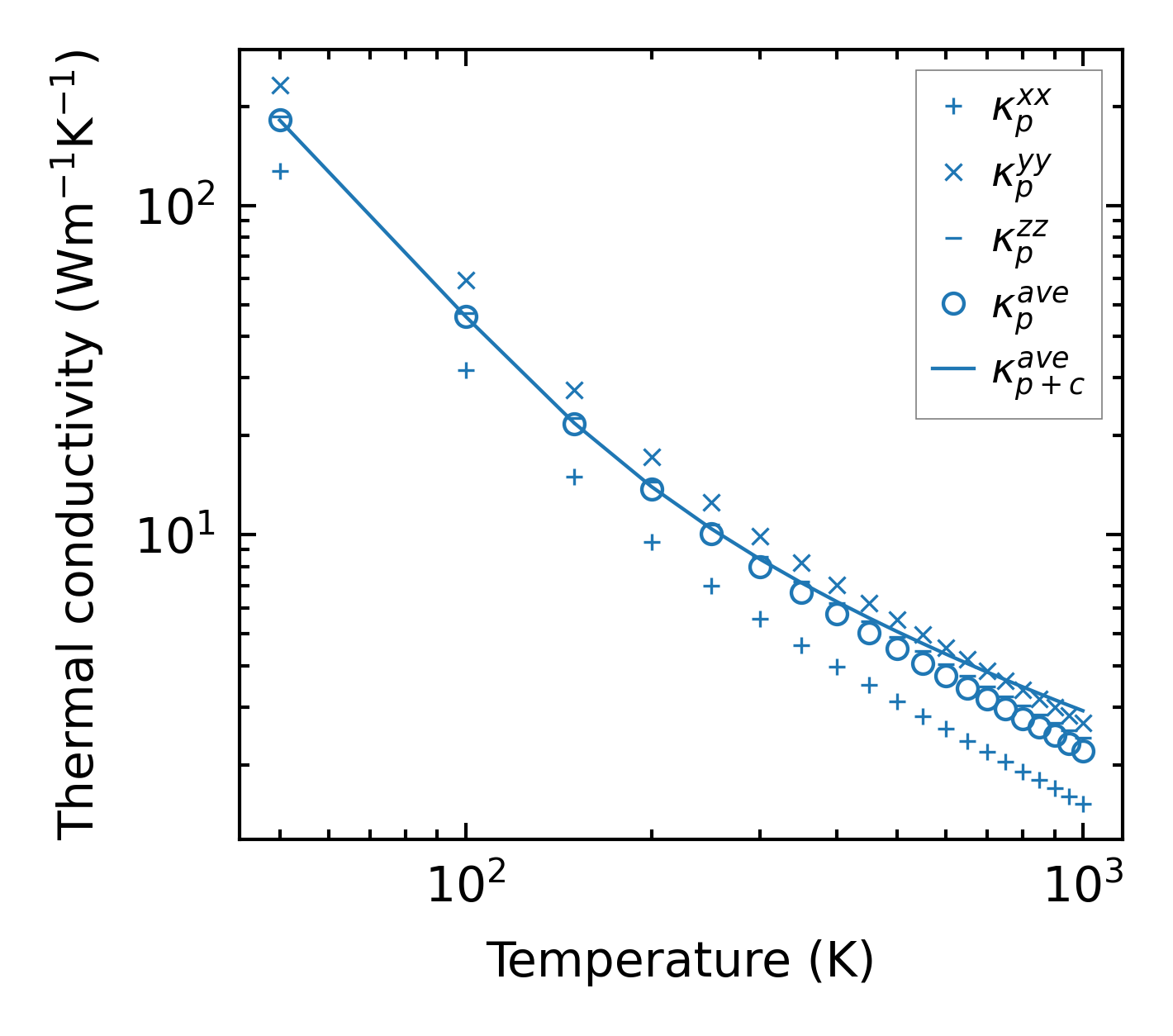
../../_images/fig_kappa5269.png

(a) Temperature-dependent lattice thermal conductivity

../../_images/fig_kappa_vs_grain_size2814.png

(b) Peierls lattice thermal conductivity w.r.t grain size

Phonon lifetime and scattering rates

../../_images/fig_lifetime2749.png

(a) Phonon lifetime due to phonon-phonon scattering

../../_images/fig_scat_rates2748.png

(b) Phonon scattering rates

Cumulative and spectral thermal conductivity

../../_images/fig_cumu_frequency2749.png

(a) Spectral and cumulative thermal conductivity w.r.t frequency

../../_images/fig_cumu_mfp2748.png

(b) Spectral and cumulative thermal conductivity w.r.t MFP

Force constants

../../_images/fig_fc26548.png

(a) Force constants w.r.t atomic distance

Summary

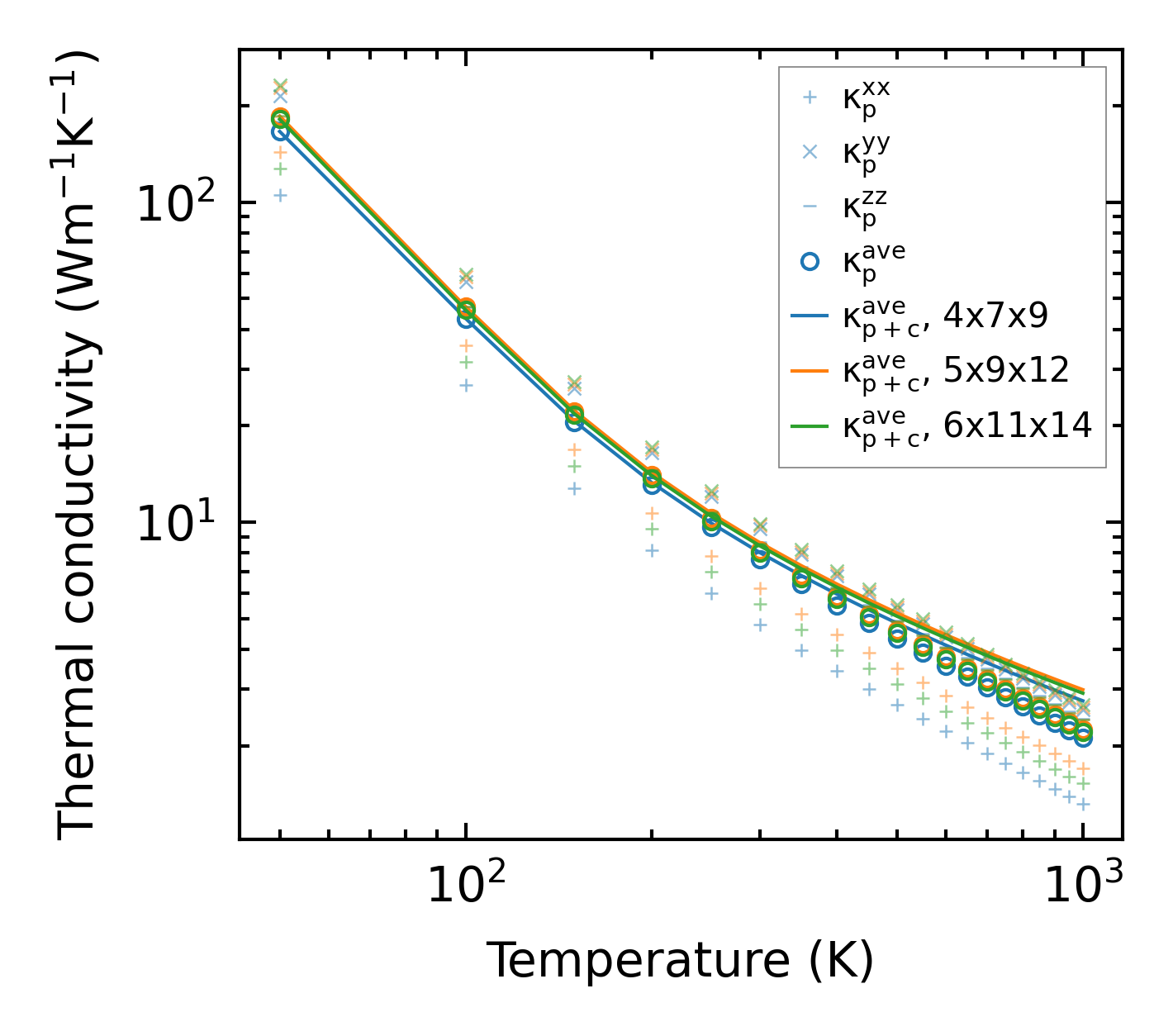
../../_images/fig_kappa5270.png

(a) Temperature-dependent lattice thermal conductivity

../../_images/fig_times12139.png

(b) Computation time