mp-581834-2/CsNa5W2N6/anharm

Equation of state

../../_images/fig_bm3628.png

(a) Equation of state

Harmonic properties

../../_images/fig_bandos_pr6782.png

(a) Phonon dispersion with participation ratio and DOS

../../_images/fig_thermo6782.png

(b) Thermodynamic properties

Grüneisen parameters

../../_images/fig_gru_all2784.png

(a) Grüneisen parameters

../../_images/fig_gruneisen2784.png

(b) Phonon dispersion with Grüneisen parameters

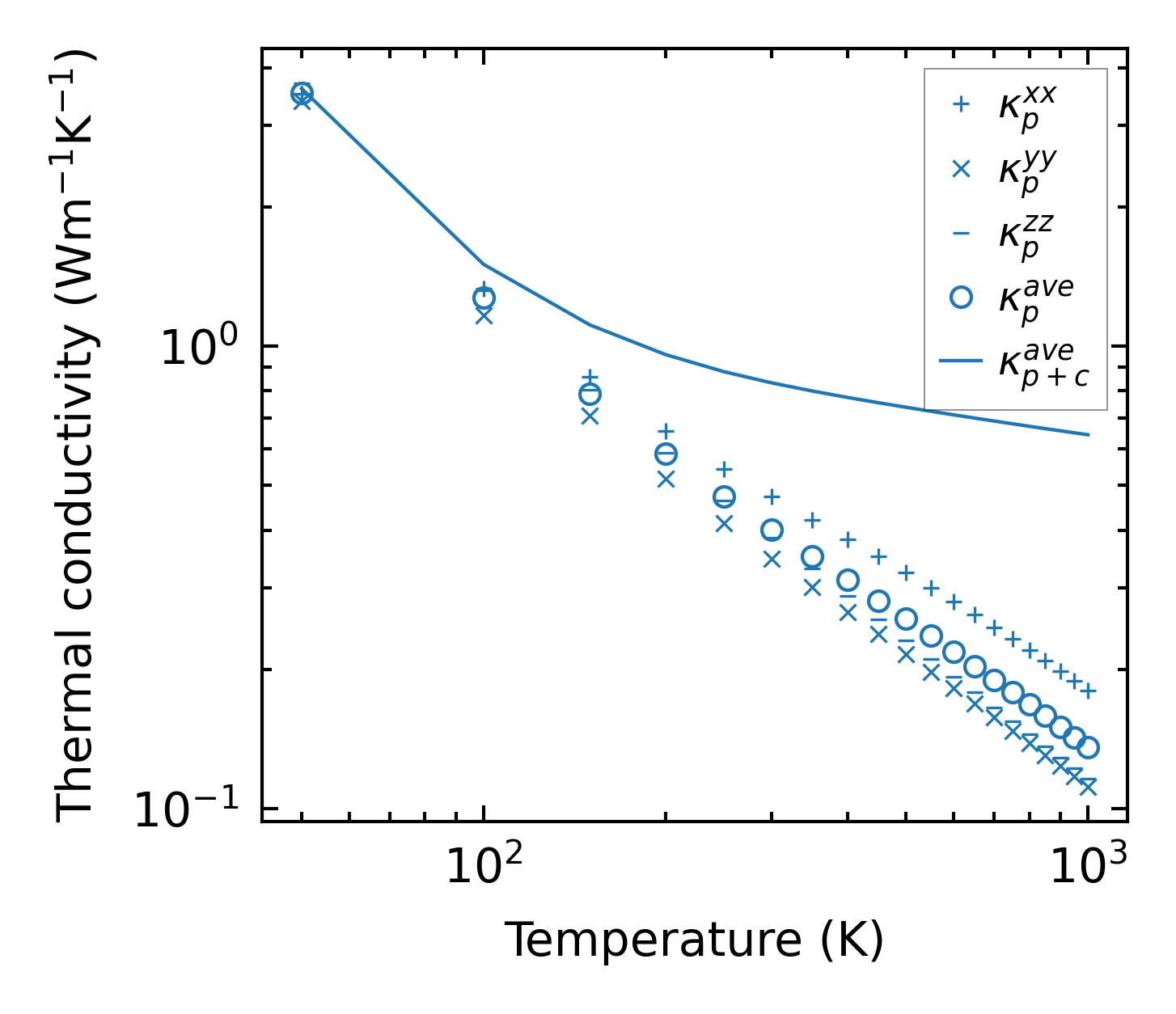
Thermal conductivity

3-phonon (LASSO) — q-mesh: 7x7x3, supercell: 1x1x1

../../_images/fig_kappa5289.png

(a) Temperature-dependent lattice thermal conductivity

../../_images/fig_kappa_vs_grain_size2825.png

(b) Peierls lattice thermal conductivity w.r.t grain size

Phonon lifetime and scattering rates

../../_images/fig_lifetime2760.png

(a) Phonon lifetime due to phonon-phonon scattering

../../_images/fig_scat_rates2759.png

(b) Phonon scattering rates

Cumulative and spectral thermal conductivity

../../_images/fig_cumu_frequency2760.png

(a) Spectral and cumulative thermal conductivity w.r.t frequency

../../_images/fig_cumu_mfp2759.png

(b) Spectral and cumulative thermal conductivity w.r.t MFP

Force constants

../../_images/fig_fc26569.png

(a) Force constants w.r.t atomic distance

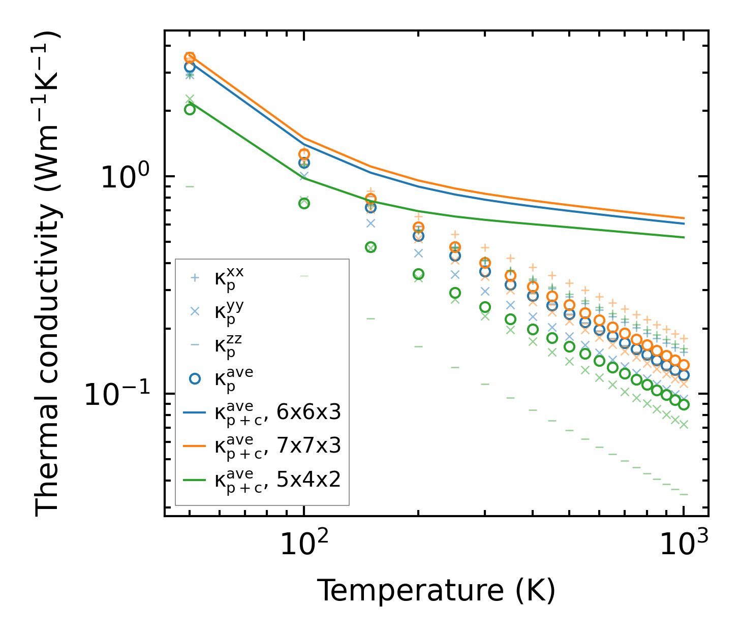
Summary

../../_images/fig_kappa5290.png

(a) Temperature-dependent lattice thermal conductivity

../../_images/fig_times12173.png

(b) Computation time