mp-581258/ZnS/anharm

Harmonic properties

../../_images/fig_bandos_pr6764.png

(a) Phonon dispersion with participation ratio and DOS

../../_images/fig_thermo6764.png

(b) Thermodynamic properties

Grüneisen parameters

../../_images/fig_gru_all2774.png

(a) Grüneisen parameters

../../_images/fig_gruneisen2774.png

(b) Phonon dispersion with Grüneisen parameters

Thermal conductivity

3-phonon (LASSO) — q-mesh: 9x9x9, supercell: 1x1x1

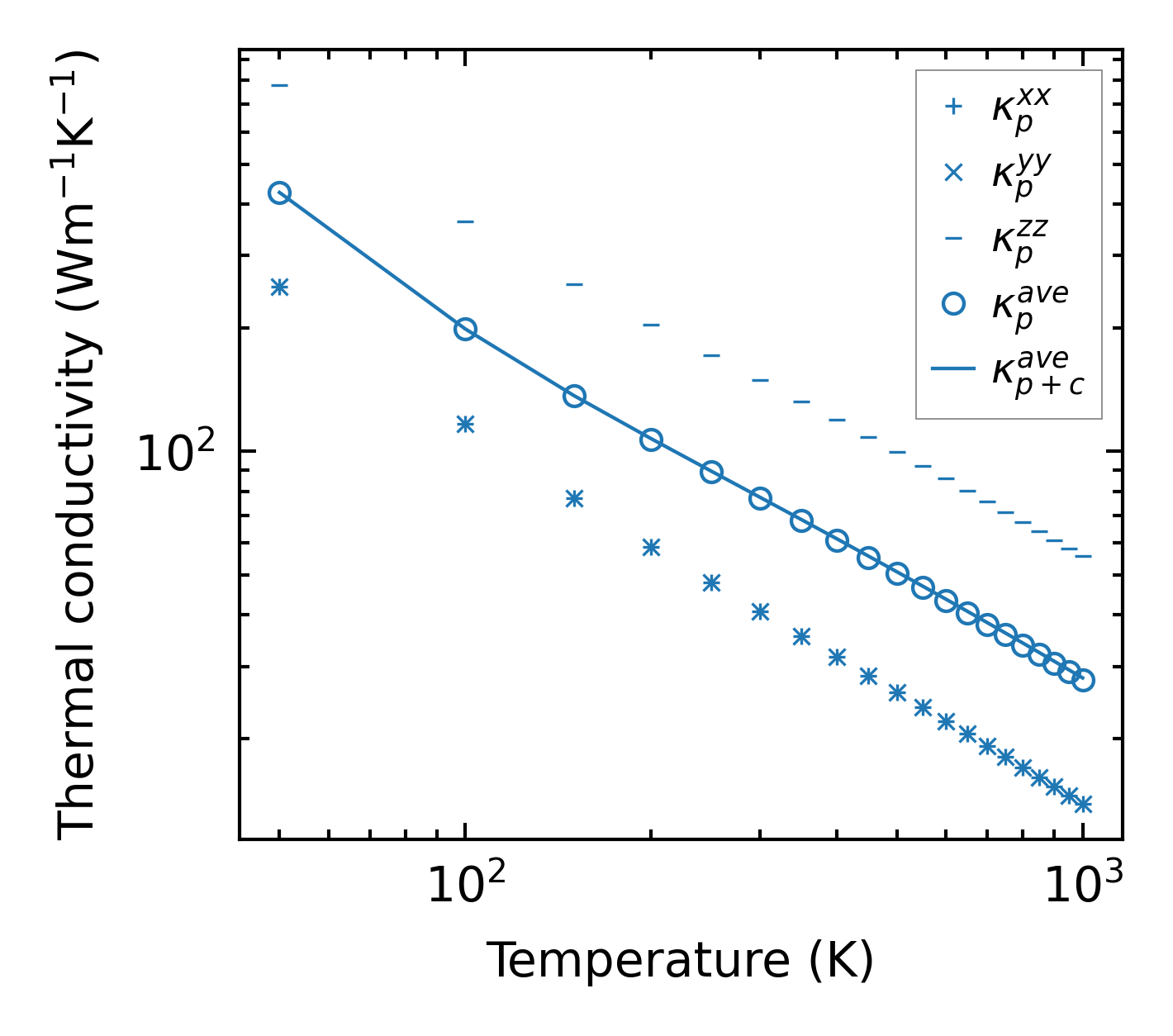
../../_images/fig_kappa5271.png

(a) Temperature-dependent lattice thermal conductivity

../../_images/fig_kappa_vs_grain_size2815.png

(b) Peierls lattice thermal conductivity w.r.t grain size

Phonon lifetime and scattering rates

../../_images/fig_lifetime2750.png

(a) Phonon lifetime due to phonon-phonon scattering

../../_images/fig_scat_rates2749.png

(b) Phonon scattering rates

Cumulative and spectral thermal conductivity

../../_images/fig_cumu_frequency2750.png

(a) Spectral and cumulative thermal conductivity w.r.t frequency

../../_images/fig_cumu_mfp2749.png

(b) Spectral and cumulative thermal conductivity w.r.t MFP

Force constants

../../_images/fig_fc26551.png

(a) Force constants w.r.t atomic distance

Summary

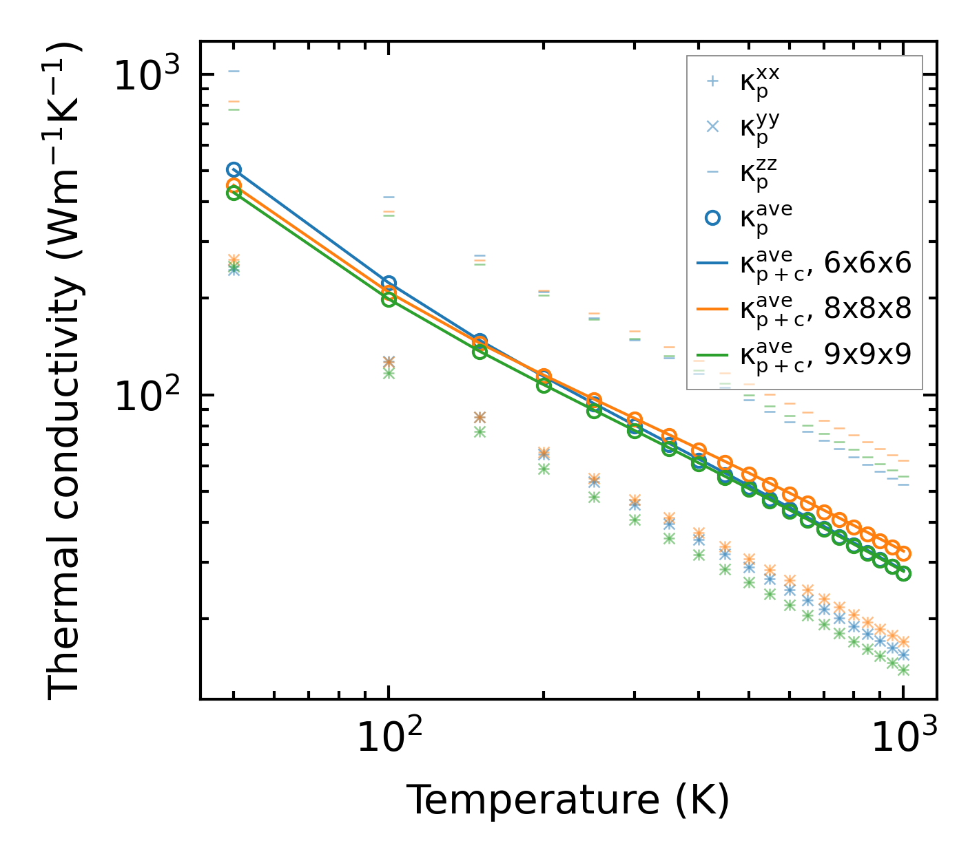
../../_images/fig_kappa5272.png

(a) Temperature-dependent lattice thermal conductivity

../../_images/fig_times12148.png

(b) Computation time