mp-581403-2/K3Na4Si3BF22/harm

Equation of state

../../_images/fig_bm3624.png

(a) Equation of state

Harmonic properties

../../_images/fig_bandos_pr6769.png

(a) Phonon dispersion with participation ratio and DOS

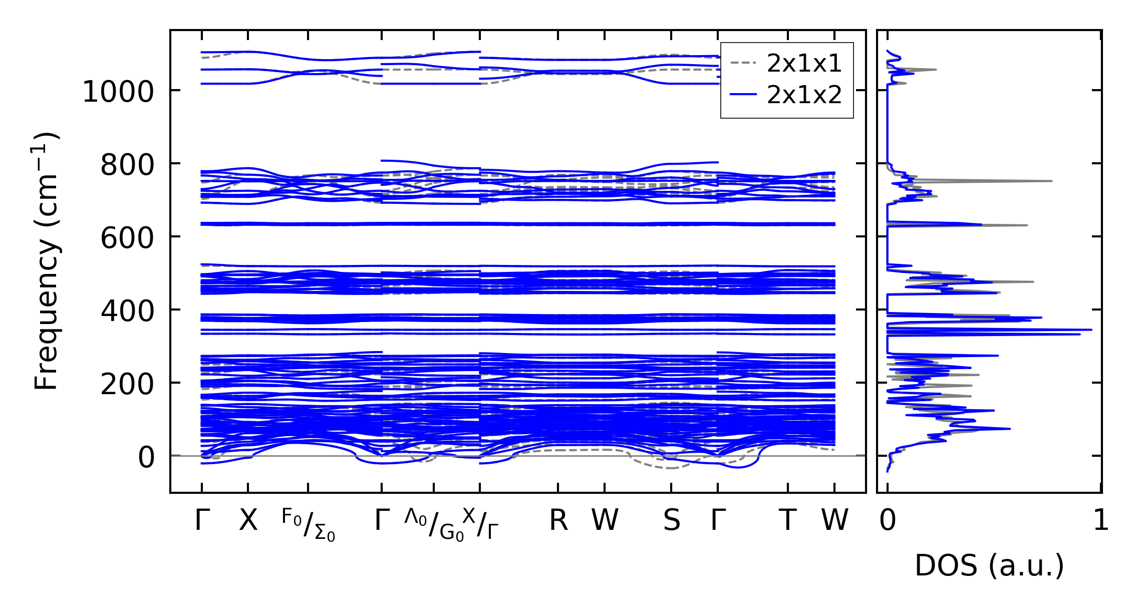
../../_images/fig_bandos9725.png

(b) Phonon dispersion and DOS

../../_images/fig_thermo6769.png

(c) Thermodynamic properties

Force constants

../../_images/fig_fc26556.png

(a) Force constants w.r.t atomic distance

Summary

../../_images/fig_times12154.png

(a) Computation time