mp-581024-2/CsK2Sb/anharm

Equation of state

../../_images/fig_bm3617.png

(a) Equation of state

Harmonic properties

../../_images/fig_bandos_pr6759.png

(a) Phonon dispersion with participation ratio and DOS

../../_images/fig_bandos9709.png

(b) Phonon dispersion and DOS

../../_images/fig_thermo6759.png

(c) Thermodynamic properties

Grüneisen parameters

../../_images/fig_gru_all2772.png

(a) Grüneisen parameters

../../_images/fig_gruneisen2772.png

(b) Phonon dispersion with Grüneisen parameters

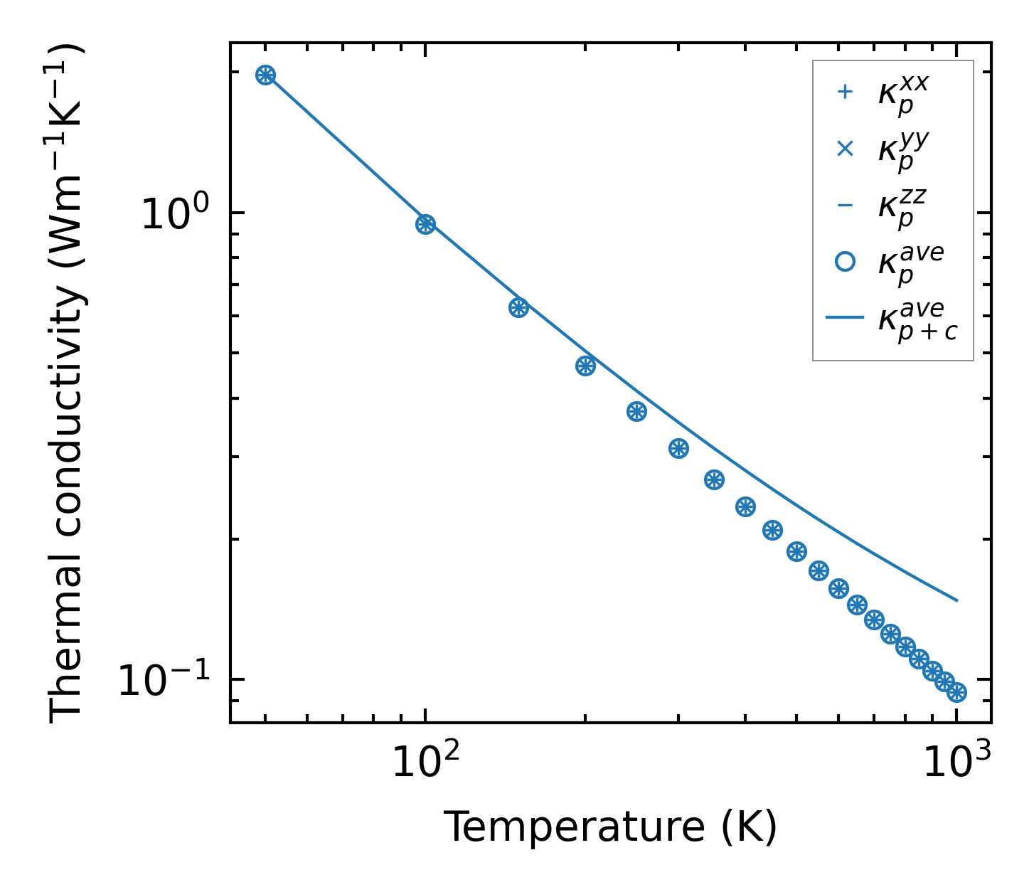
Thermal conductivity

3-phonon, supercell 3x3x3 — q-mesh: 13x13x13, supercell: 3x3x3

../../_images/fig_kappa5268.png

(a) Temperature-dependent lattice thermal conductivity

../../_images/fig_kappa_vs_grain_size2813.png

(b) Peierls lattice thermal conductivity w.r.t grain size

Phonon lifetime and scattering rates

../../_images/fig_lifetime2748.png

(a) Phonon lifetime due to phonon-phonon scattering

../../_images/fig_scat_rates2747.png

(b) Phonon scattering rates

Cumulative and spectral thermal conductivity

../../_images/fig_cumu_frequency2748.png

(a) Spectral and cumulative thermal conductivity w.r.t frequency

../../_images/fig_cumu_mfp2747.png

(b) Spectral and cumulative thermal conductivity w.r.t MFP

Force constants

../../_images/fig_fc3212.png

(a) Force constants w.r.t atomic distance

Summary

../../_images/fig_times12135.png

(a) Computation time