mp-581361/Ba3La2C5O15F2/harm

Equation of state

../../_images/fig_bm3622.png

(a) Equation of state

Harmonic properties

../../_images/fig_bandos_pr6765.png

(a) Phonon dispersion with participation ratio and DOS

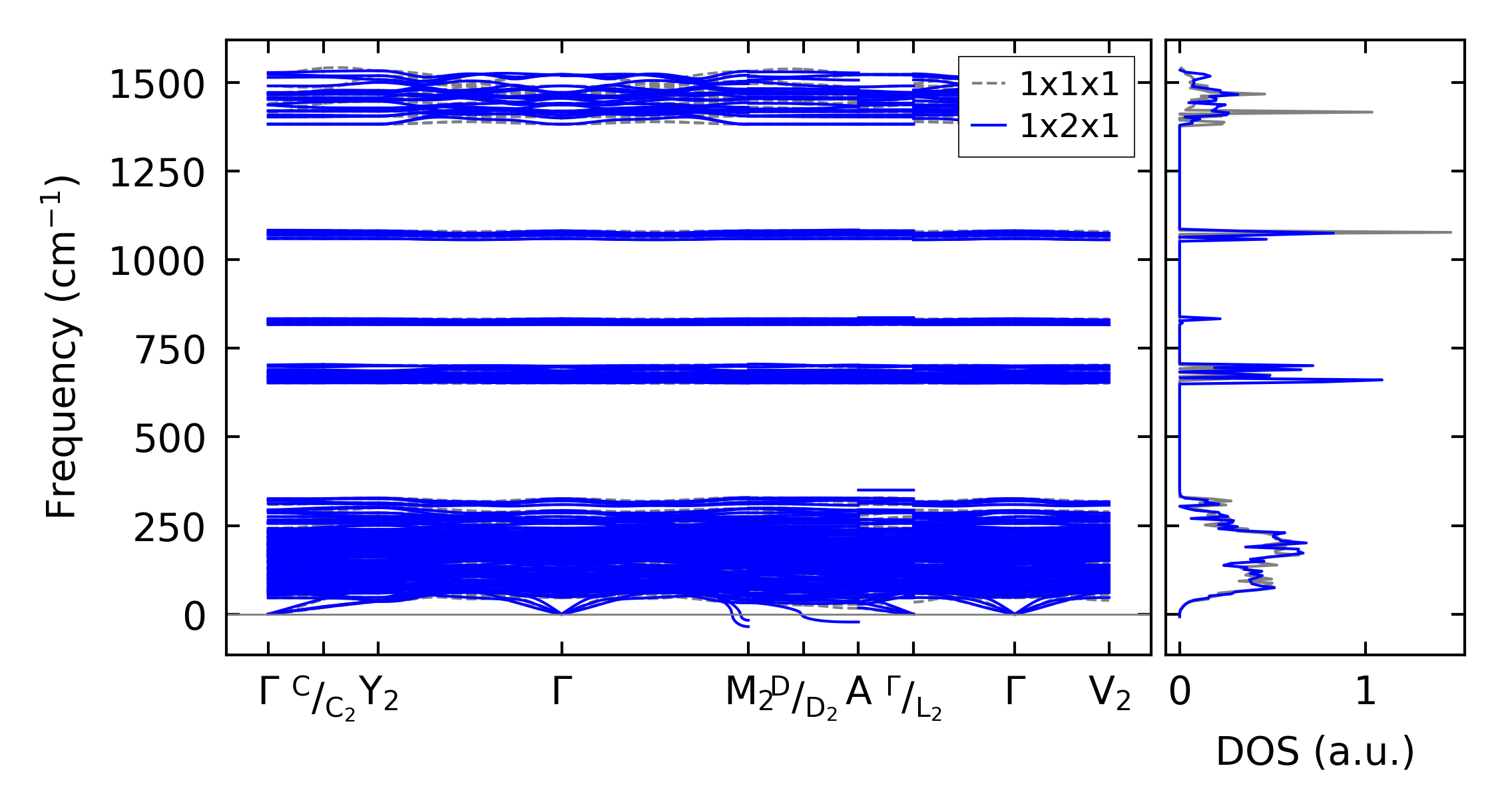
../../_images/fig_bandos9722.png

(b) Phonon dispersion and DOS

../../_images/fig_thermo6765.png

(c) Thermodynamic properties

Force constants

../../_images/fig_fc26552.png

(a) Force constants w.r.t atomic distance

Summary

../../_images/fig_times12150.png

(a) Computation time