mp-551918/AlBiO3/anharm

Harmonic properties

../../_images/fig_bandos_pr9151.png

(a) Phonon dispersion with participation ratio and DOS

../../_images/fig_bandos12865.png

(b) Phonon dispersion and DOS

../../_images/fig_thermo9151.png

(c) Thermodynamic properties

Grüneisen parameters

../../_images/fig_gru_all3643.png

(a) Grüneisen parameters

../../_images/fig_gruneisen3643.png

(b) Phonon dispersion with Grüneisen parameters

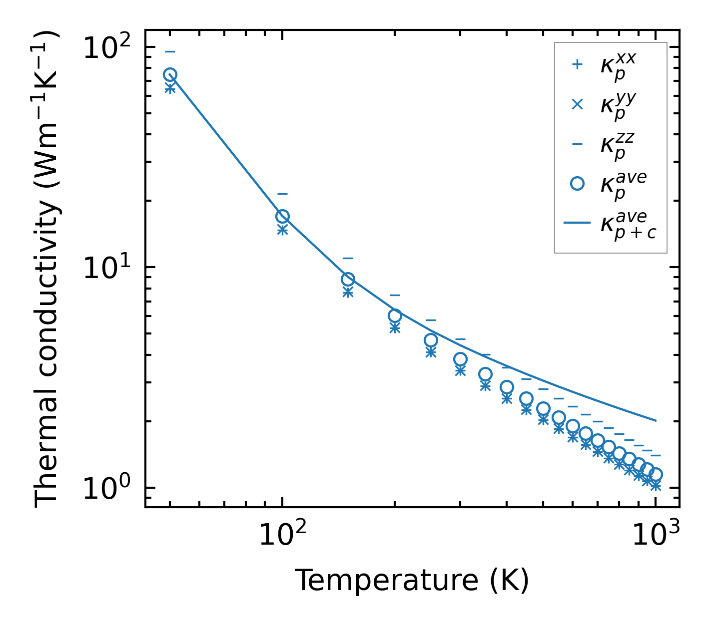
Thermal conductivity

3-phonon (LASSO) — q-mesh: 15x15x15, supercell: 2x2x1

../../_images/fig_kappa6881.png

(a) Temperature-dependent lattice thermal conductivity

../../_images/fig_kappa_vs_grain_size3691.png

(b) Peierls lattice thermal conductivity w.r.t grain size

Phonon lifetime and scattering rates

../../_images/fig_lifetime3609.png

(a) Phonon lifetime due to phonon-phonon scattering

../../_images/fig_scat_rates3608.png

(b) Phonon scattering rates

Cumulative and spectral thermal conductivity

../../_images/fig_cumu_frequency3609.png

(a) Spectral and cumulative thermal conductivity w.r.t frequency

../../_images/fig_cumu_mfp3608.png

(b) Spectral and cumulative thermal conductivity w.r.t MFP

Force constants

../../_images/fig_fc28913.png

(a) Force constants w.r.t atomic distance

Summary

../../_images/fig_kappa6882.png

(a) Temperature-dependent lattice thermal conductivity

../../_images/fig_times15983.png

(b) Computation time