mp-551243/BaBiIO2/anharm

Harmonic properties

../../_images/fig_bandos_pr9132.png

(a) Phonon dispersion with participation ratio and DOS

../../_images/fig_thermo9132.png

(b) Thermodynamic properties

Grüneisen parameters

../../_images/fig_gru_all3636.png

(a) Grüneisen parameters

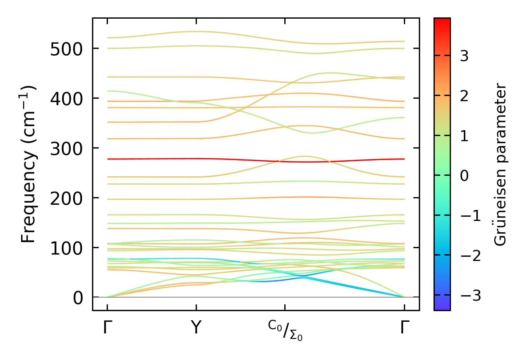
../../_images/fig_gruneisen3636.png

(b) Phonon dispersion with Grüneisen parameters

Thermal conductivity

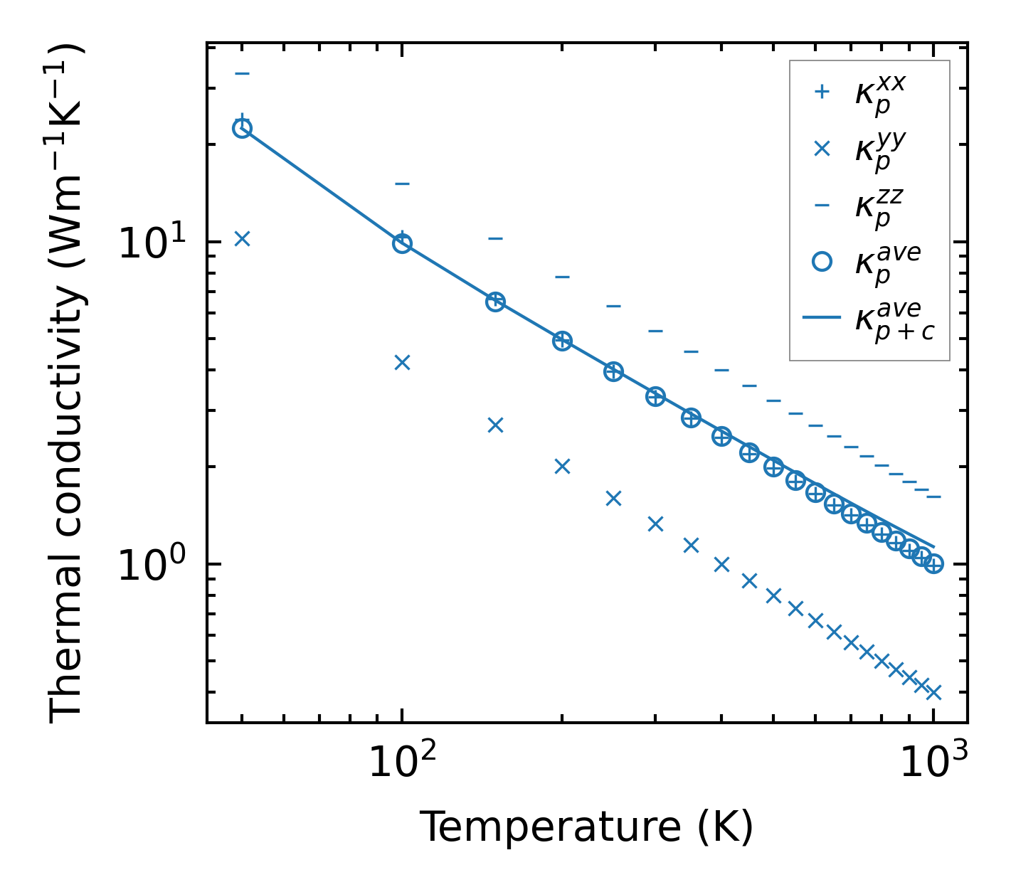
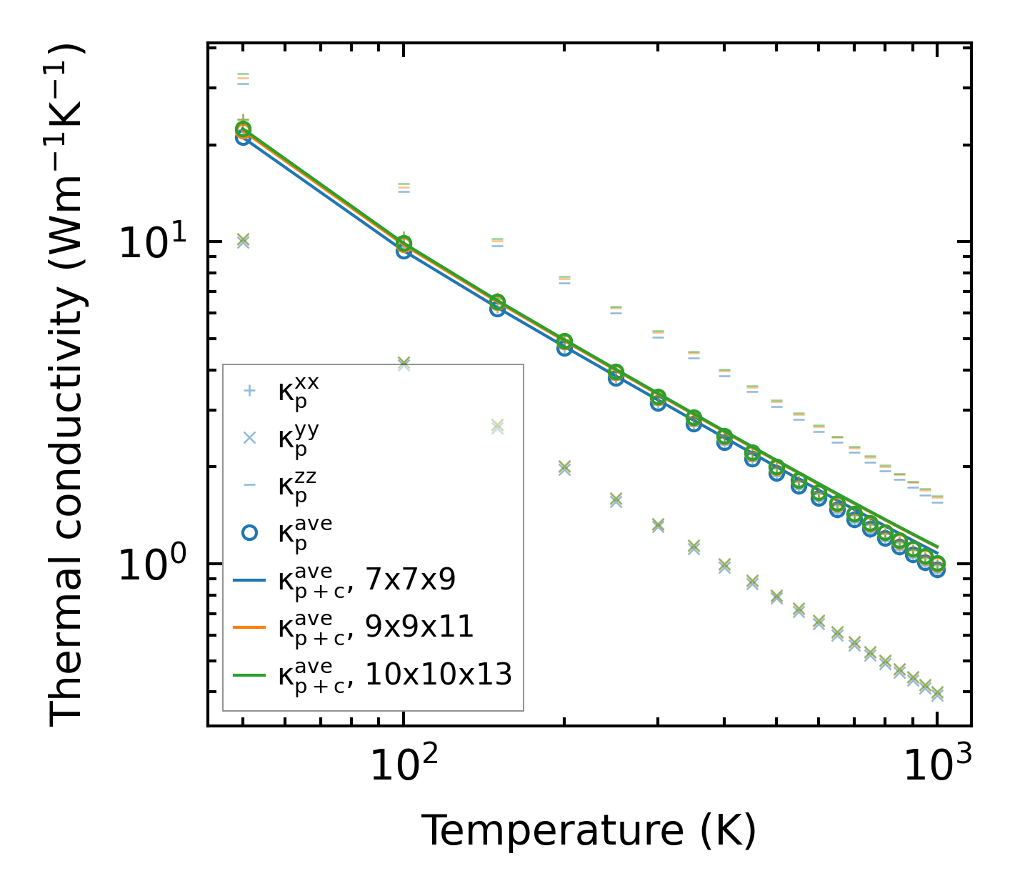
3-phonon (LASSO) — q-mesh: 10x10x13, supercell: 2x1x3

../../_images/fig_kappa6867.png

(a) Temperature-dependent lattice thermal conductivity

../../_images/fig_kappa_vs_grain_size3684.png

(b) Peierls lattice thermal conductivity w.r.t grain size

Phonon lifetime and scattering rates

../../_images/fig_lifetime3602.png

(a) Phonon lifetime due to phonon-phonon scattering

../../_images/fig_scat_rates3601.png

(b) Phonon scattering rates

Cumulative and spectral thermal conductivity

../../_images/fig_cumu_frequency3602.png

(a) Spectral and cumulative thermal conductivity w.r.t frequency

../../_images/fig_cumu_mfp3601.png

(b) Spectral and cumulative thermal conductivity w.r.t MFP

Force constants

../../_images/fig_fc28894.png

(a) Force constants w.r.t atomic distance

Summary

../../_images/fig_kappa6868.png

(a) Temperature-dependent lattice thermal conductivity

../../_images/fig_times15957.png

(b) Computation time