mp-551816/YBi2IO4/anharm

Harmonic properties

../../_images/fig_bandos_pr9142.png

(a) Phonon dispersion with participation ratio and DOS

../../_images/fig_thermo9142.png

(b) Thermodynamic properties

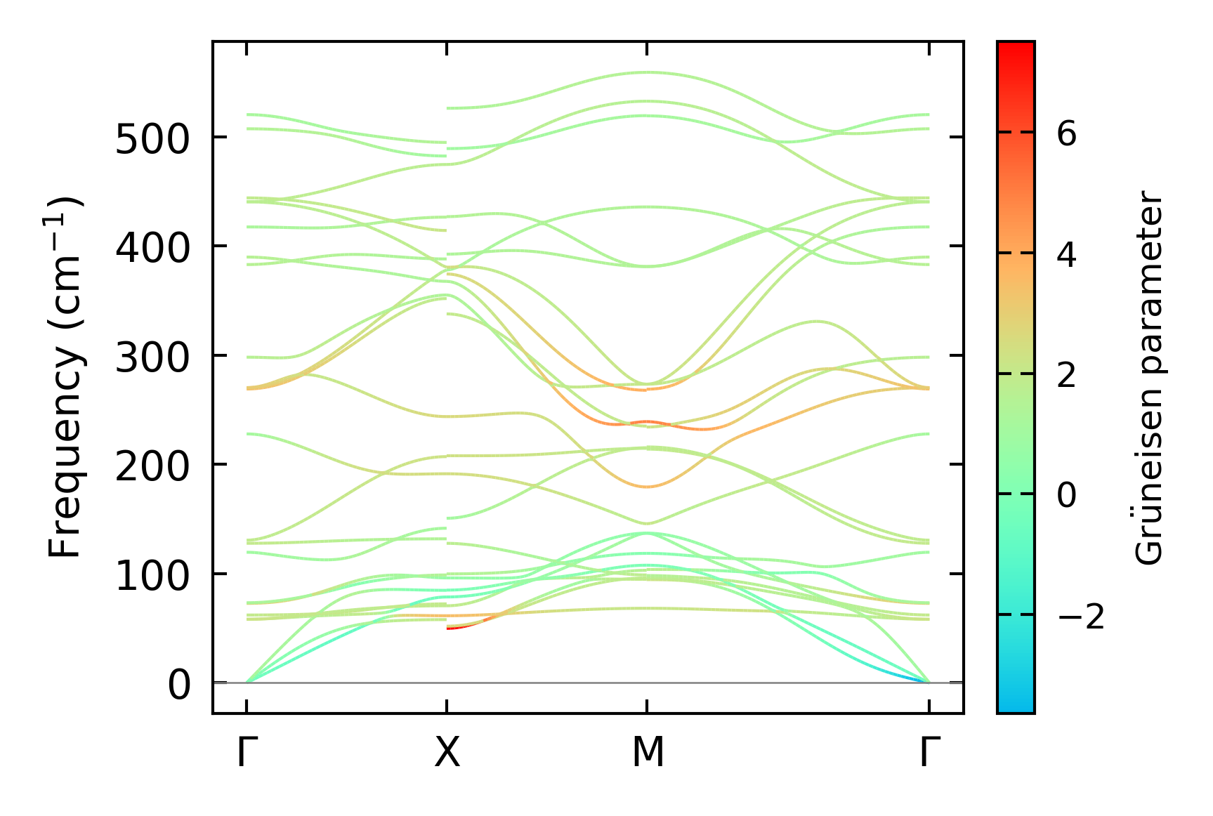
Grüneisen parameters

../../_images/fig_gru_all3640.png

(a) Grüneisen parameters

../../_images/fig_gruneisen3640.png

(b) Phonon dispersion with Grüneisen parameters

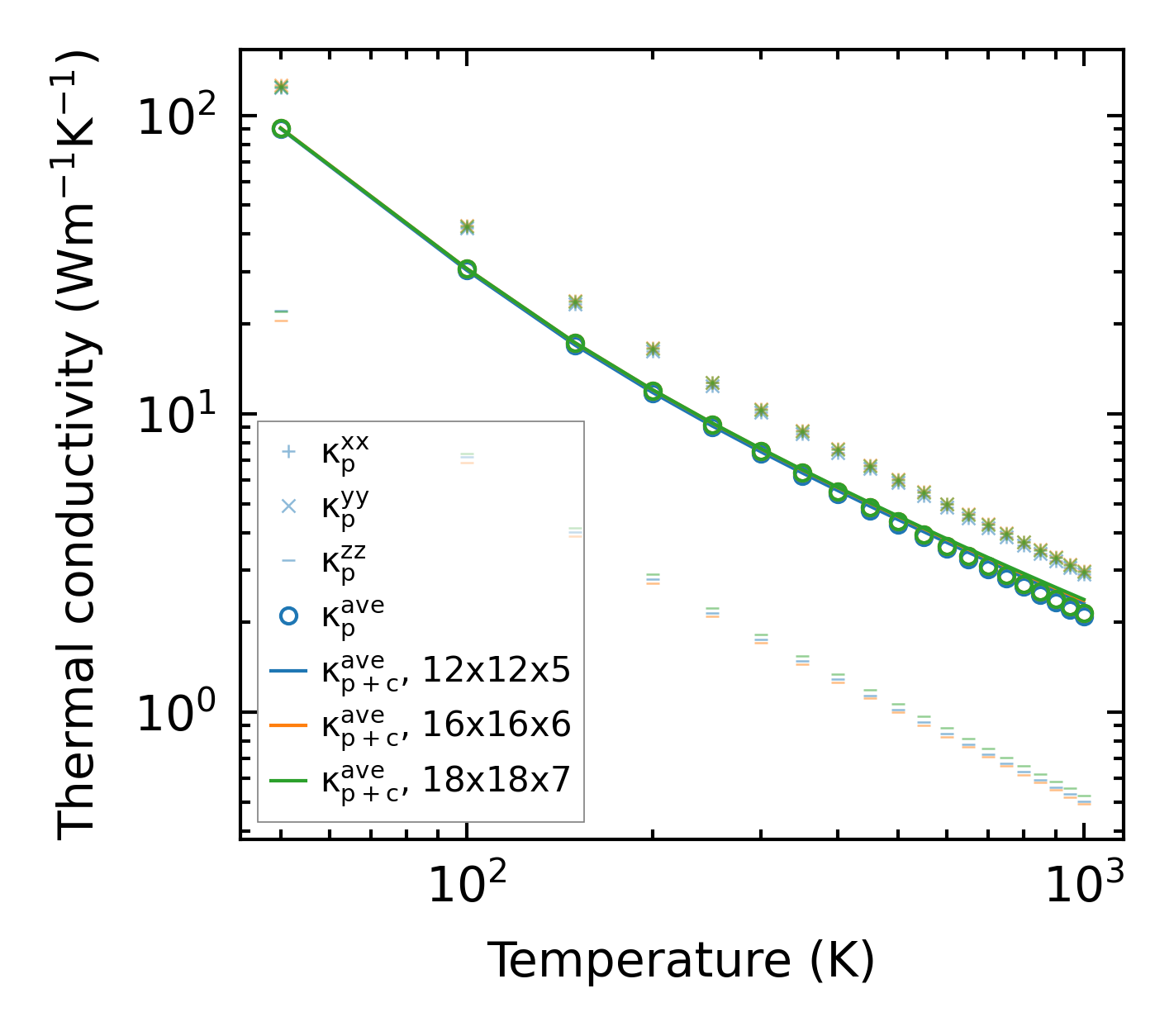
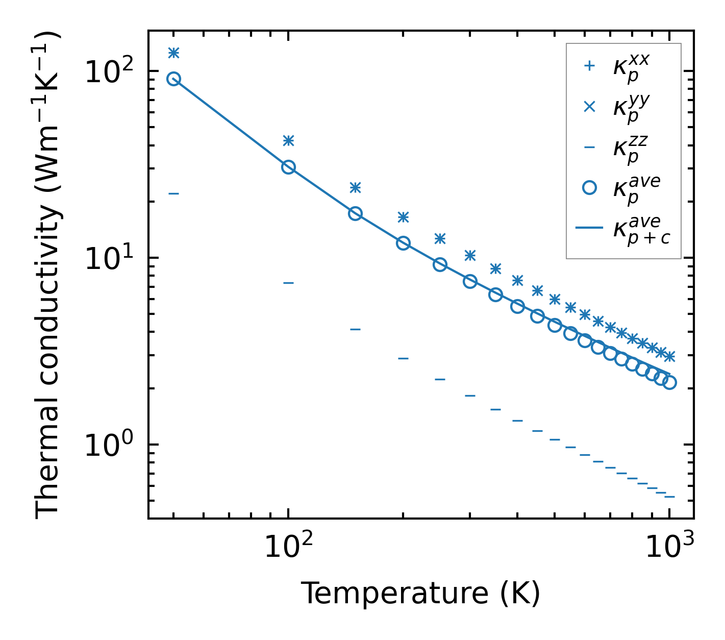
Thermal conductivity

3-phonon (LASSO) — q-mesh: 18x18x7, supercell: 3x3x2

../../_images/fig_kappa6875.png

(a) Temperature-dependent lattice thermal conductivity

../../_images/fig_kappa_vs_grain_size3688.png

(b) Peierls lattice thermal conductivity w.r.t grain size

Phonon lifetime and scattering rates

../../_images/fig_lifetime3606.png

(a) Phonon lifetime due to phonon-phonon scattering

../../_images/fig_scat_rates3605.png

(b) Phonon scattering rates

Cumulative and spectral thermal conductivity

../../_images/fig_cumu_frequency3606.png

(a) Spectral and cumulative thermal conductivity w.r.t frequency

../../_images/fig_cumu_mfp3605.png

(b) Spectral and cumulative thermal conductivity w.r.t MFP

Force constants

../../_images/fig_fc28904.png

(a) Force constants w.r.t atomic distance

Summary

../../_images/fig_kappa6876.png

(a) Temperature-dependent lattice thermal conductivity

../../_images/fig_times15973.png

(b) Computation time