mp-551826/NbTlBr4O/harm

Harmonic properties

../../_images/fig_bandos_pr9143.png

(a) Phonon dispersion with participation ratio and DOS

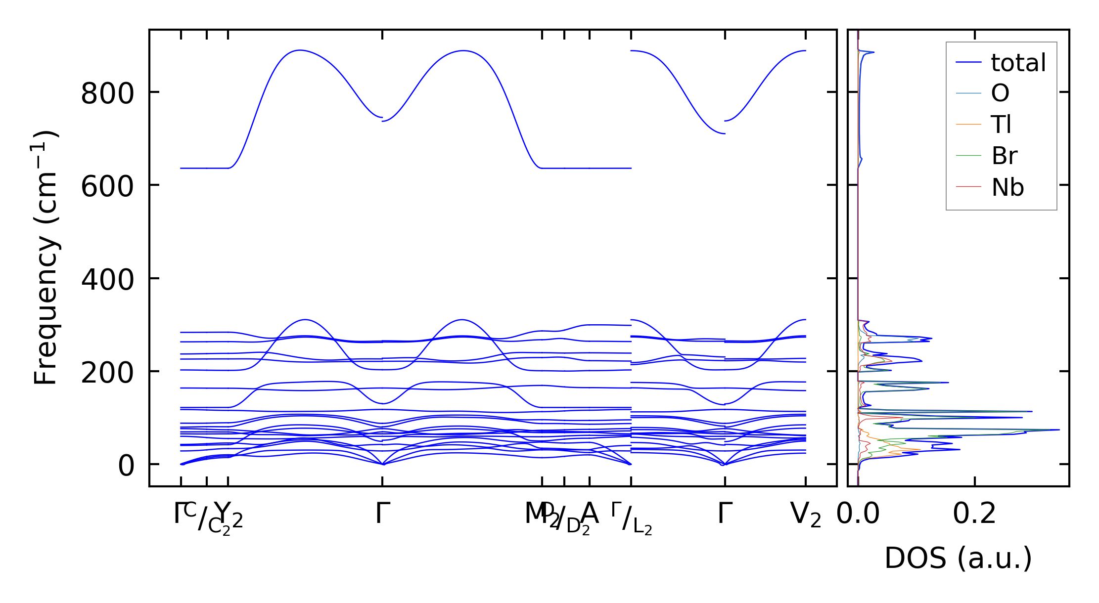
../../_images/fig_bandos12858.png

(b) Phonon dispersion and DOS

../../_images/fig_thermo9143.png

(c) Thermodynamic properties

Force constants

../../_images/fig_fc28905.png

(a) Force constants w.r.t atomic distance

Summary

../../_images/fig_times15974.png

(a) Computation time