mp-551250/ErBi2IO4/anharm

Harmonic properties

../../_images/fig_bandos_pr9133.png

(a) Phonon dispersion with participation ratio and DOS

../../_images/fig_thermo9133.png

(b) Thermodynamic properties

Grüneisen parameters

../../_images/fig_gru_all3637.png

(a) Grüneisen parameters

../../_images/fig_gruneisen3637.png

(b) Phonon dispersion with Grüneisen parameters

Thermal conductivity

3-phonon (LASSO) — q-mesh: 18x18x7, supercell: 3x3x2

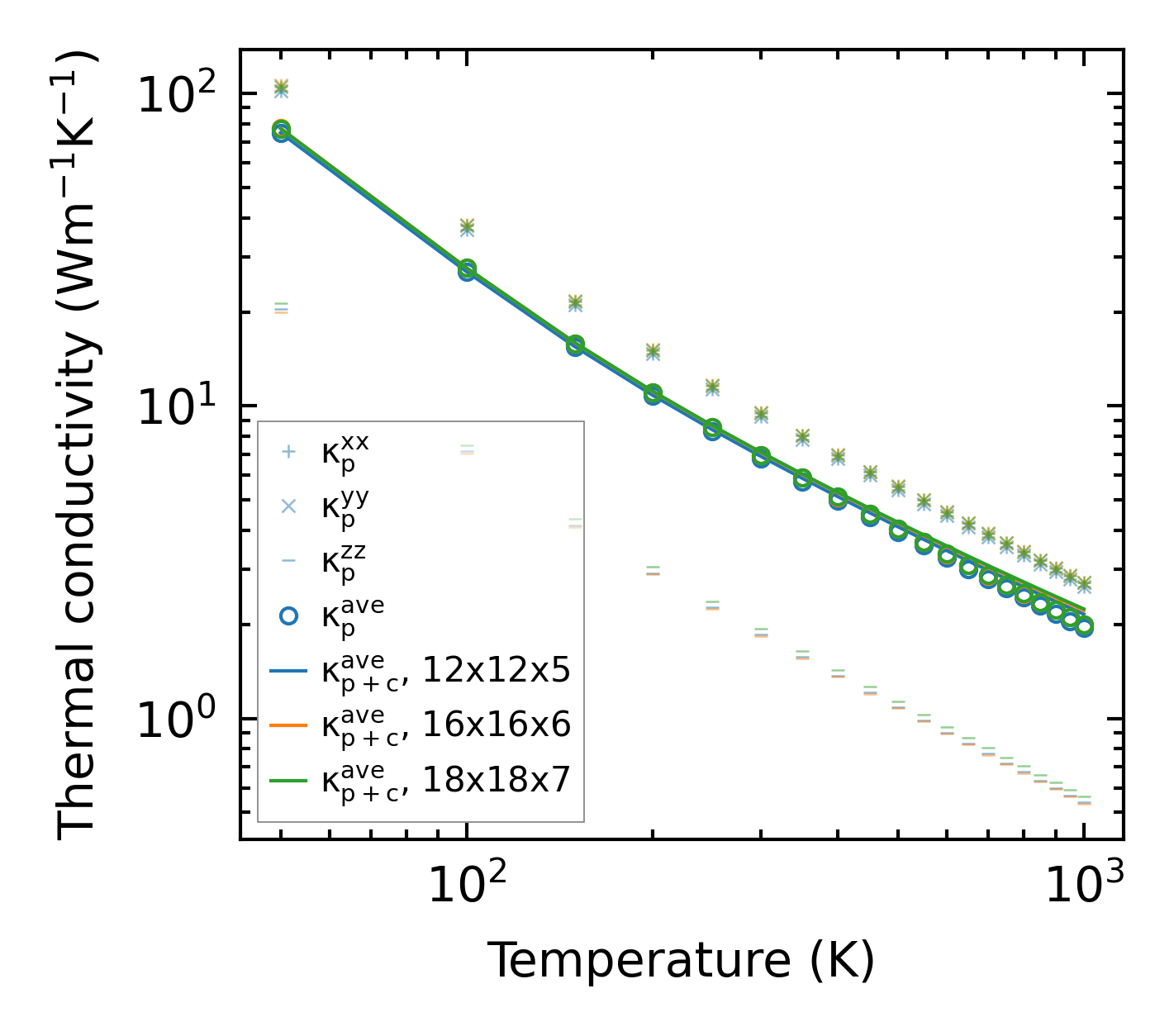
../../_images/fig_kappa6869.png

(a) Temperature-dependent lattice thermal conductivity

../../_images/fig_kappa_vs_grain_size3685.png

(b) Peierls lattice thermal conductivity w.r.t grain size

Phonon lifetime and scattering rates

../../_images/fig_lifetime3603.png

(a) Phonon lifetime due to phonon-phonon scattering

../../_images/fig_scat_rates3602.png

(b) Phonon scattering rates

Cumulative and spectral thermal conductivity

../../_images/fig_cumu_frequency3603.png

(a) Spectral and cumulative thermal conductivity w.r.t frequency

../../_images/fig_cumu_mfp3602.png

(b) Spectral and cumulative thermal conductivity w.r.t MFP

Force constants

../../_images/fig_fc28895.png

(a) Force constants w.r.t atomic distance

Summary

../../_images/fig_kappa6870.png

(a) Temperature-dependent lattice thermal conductivity

../../_images/fig_times15958.png

(b) Computation time