mp-551835/Ba2I2O/anharm

Harmonic properties

../../_images/fig_bandos_pr9145.png

(a) Phonon dispersion with participation ratio and DOS

../../_images/fig_thermo9145.png

(b) Thermodynamic properties

Grüneisen parameters

../../_images/fig_gru_all3641.png

(a) Grüneisen parameters

../../_images/fig_gruneisen3641.png

(b) Phonon dispersion with Grüneisen parameters

Thermal conductivity

3-phonon (LASSO) — q-mesh: 10x10x10, supercell: 2x1x3

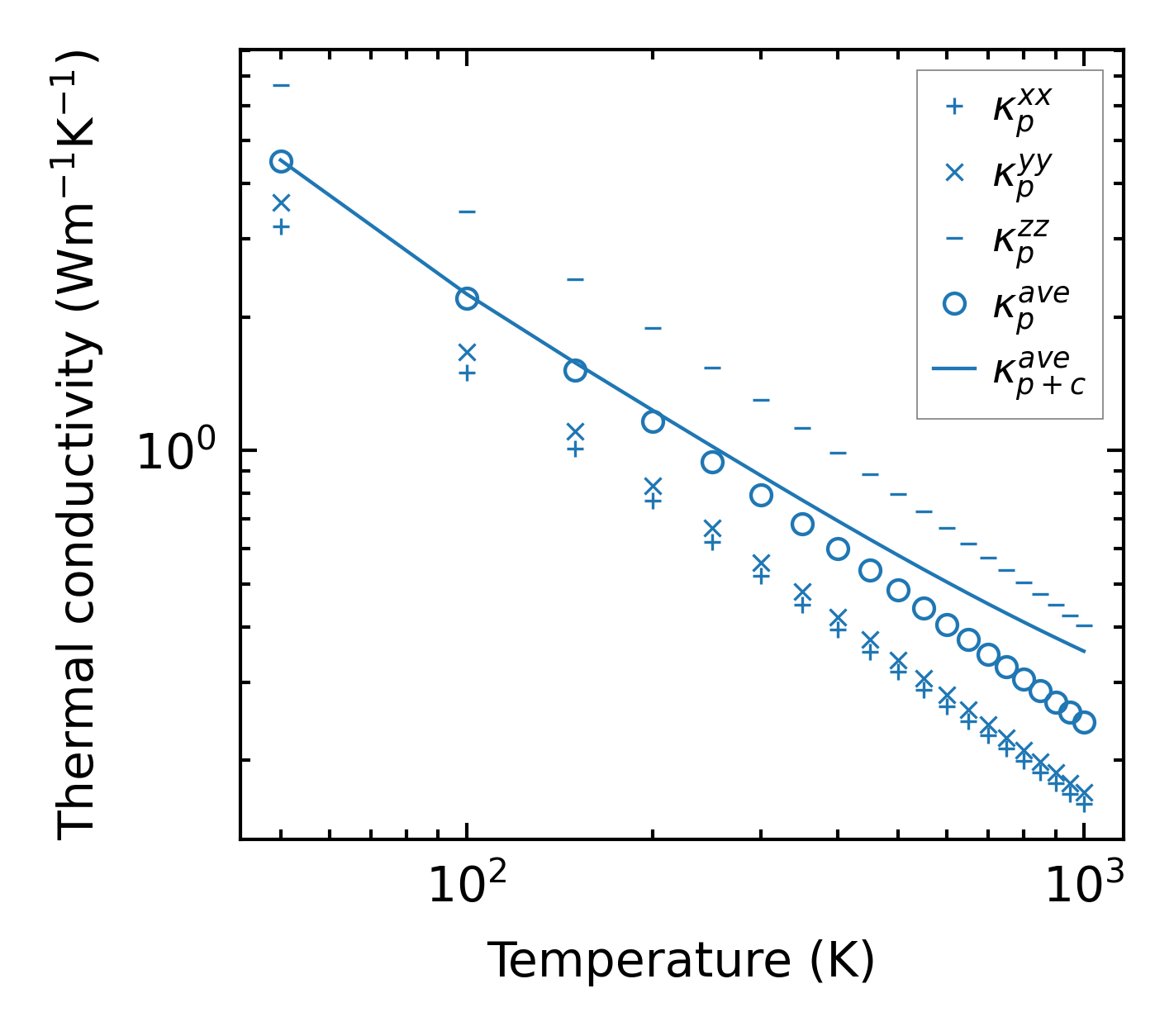
../../_images/fig_kappa6877.png

(a) Temperature-dependent lattice thermal conductivity

../../_images/fig_kappa_vs_grain_size3689.png

(b) Peierls lattice thermal conductivity w.r.t grain size

Phonon lifetime and scattering rates

../../_images/fig_lifetime3607.png

(a) Phonon lifetime due to phonon-phonon scattering

../../_images/fig_scat_rates3606.png

(b) Phonon scattering rates

Cumulative and spectral thermal conductivity

../../_images/fig_cumu_frequency3607.png

(a) Spectral and cumulative thermal conductivity w.r.t frequency

../../_images/fig_cumu_mfp3606.png

(b) Spectral and cumulative thermal conductivity w.r.t MFP

Force constants

../../_images/fig_fc28907.png

(a) Force constants w.r.t atomic distance

Summary

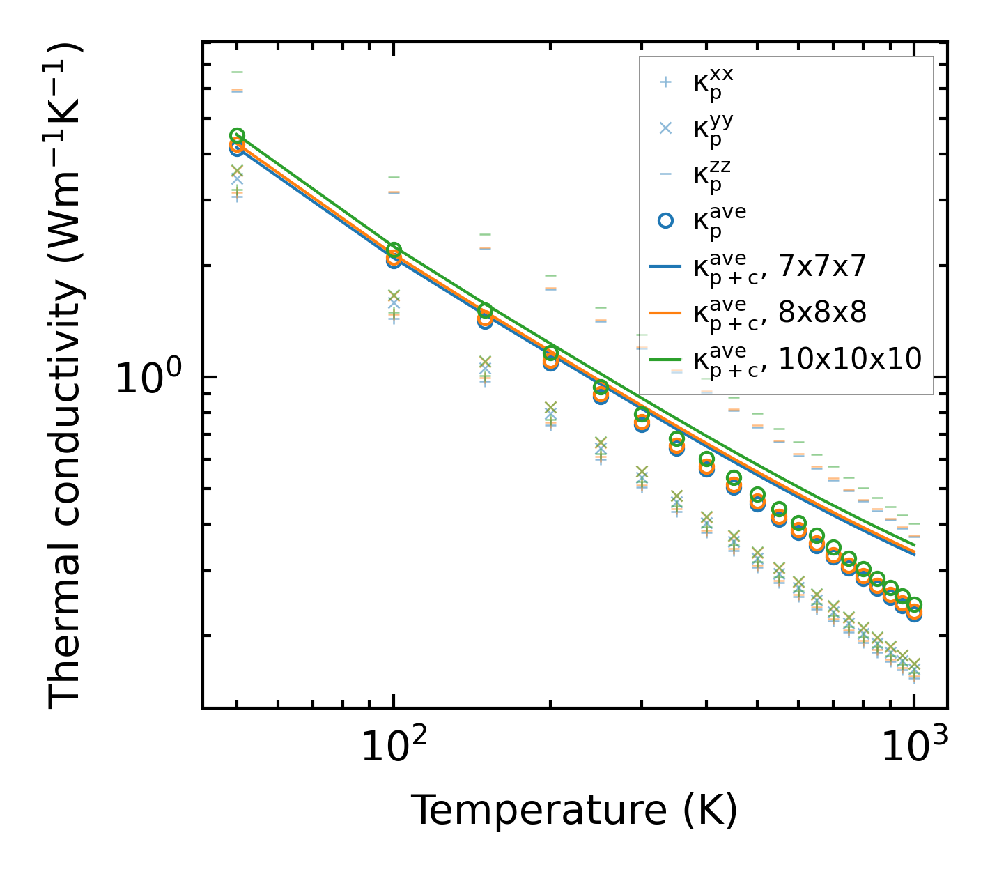
../../_images/fig_kappa6878.png

(a) Temperature-dependent lattice thermal conductivity

../../_images/fig_times15977.png

(b) Computation time