mp-1219679/PrBrCl2/anharm

Harmonic properties

../../_images/fig_bandos_pr15284.png

(a) Phonon dispersion with participation ratio and DOS

../../_images/fig_thermo15283.png

(b) Thermodynamic properties

Grüneisen parameters

../../_images/fig_gru_all6591.png

(a) Grüneisen parameters

../../_images/fig_gruneisen6591.png

(b) Phonon dispersion with Grüneisen parameters

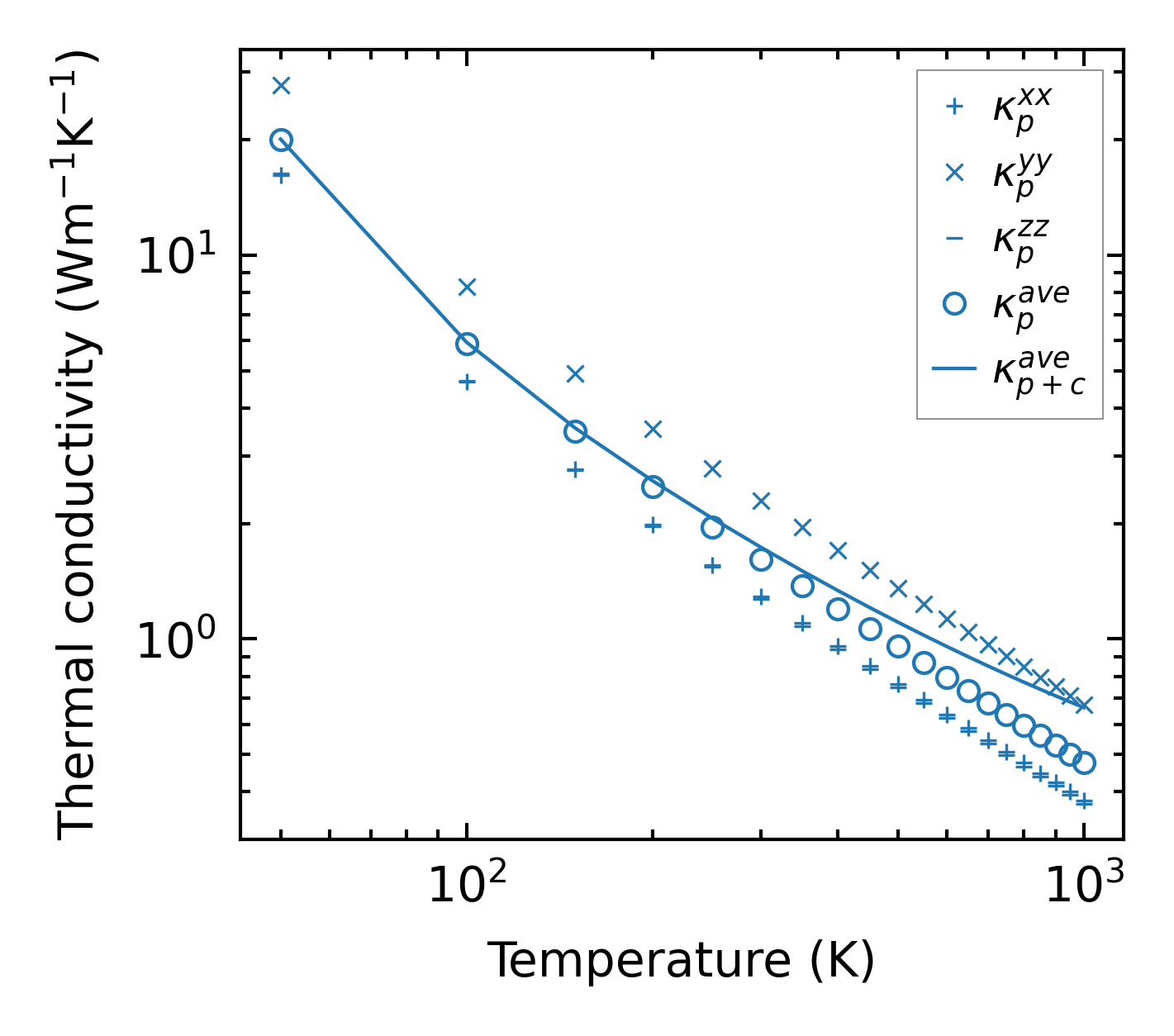
Thermal conductivity

3-phonon (LASSO) — q-mesh: 10x17x9, supercell: 2x4x2

../../_images/fig_kappa12406.png

(a) Temperature-dependent lattice thermal conductivity

../../_images/fig_kappa_vs_grain_size6669.png

(b) Peierls lattice thermal conductivity w.r.t grain size

Phonon lifetime and scattering rates

../../_images/fig_lifetime6525.png

(a) Phonon lifetime due to phonon-phonon scattering

../../_images/fig_scat_rates6524.png

(b) Phonon scattering rates

Cumulative and spectral thermal conductivity

../../_images/fig_cumu_frequency6525.png

(a) Spectral and cumulative thermal conductivity w.r.t frequency

../../_images/fig_cumu_mfp6524.png

(b) Spectral and cumulative thermal conductivity w.r.t MFP

Force constants

../../_images/fig_fc214893.png

(a) Force constants w.r.t atomic distance

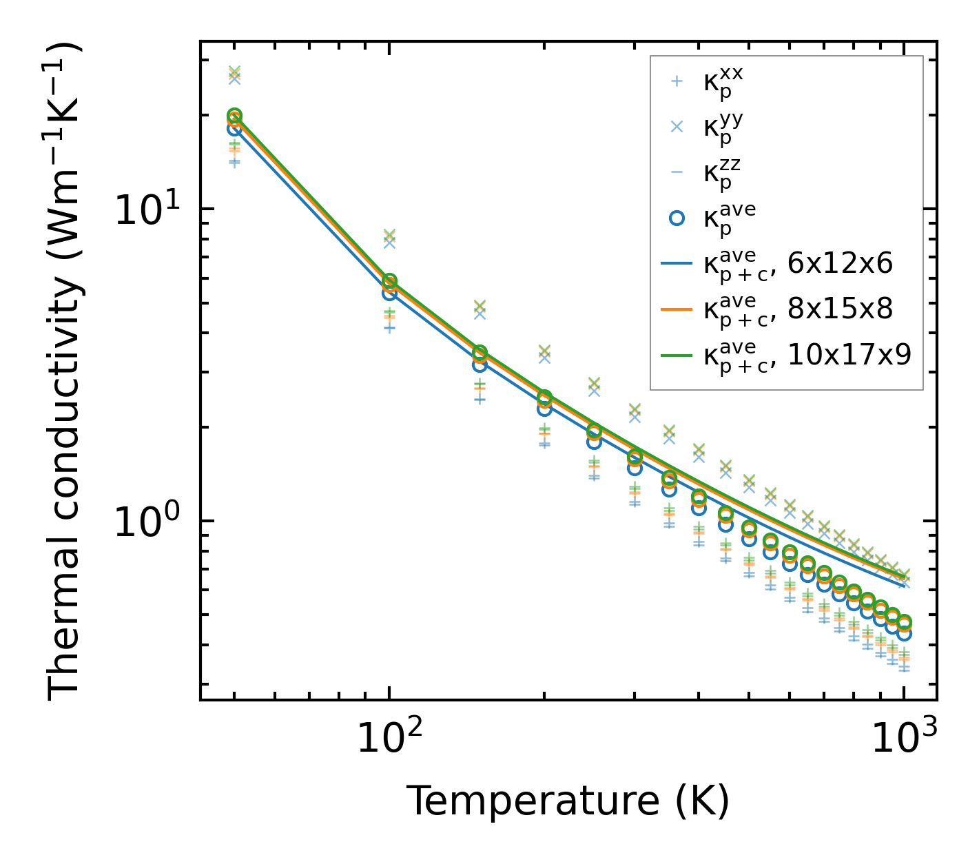
Summary

../../_images/fig_kappa12407.png

(a) Temperature-dependent lattice thermal conductivity

../../_images/fig_times25285.png

(b) Computation time