mp-1219312/ScCuSe2/anharm

Harmonic properties

../../_images/fig_bandos_pr15273.png

(a) Phonon dispersion with participation ratio and DOS

../../_images/fig_thermo15272.png

(b) Thermodynamic properties

Grüneisen parameters

../../_images/fig_gru_all6584.png

(a) Grüneisen parameters

../../_images/fig_gruneisen6584.png

(b) Phonon dispersion with Grüneisen parameters

Thermal conductivity

3-phonon (LASSO) — q-mesh: 19x19x12, supercell: 4x4x2

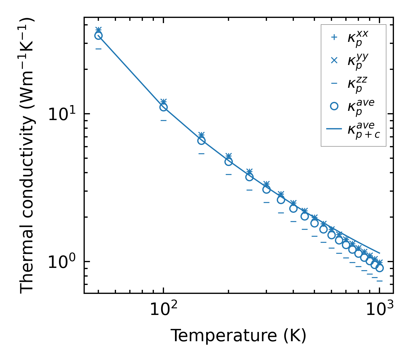
../../_images/fig_kappa12392.png

(a) Temperature-dependent lattice thermal conductivity

../../_images/fig_kappa_vs_grain_size6661.png

(b) Peierls lattice thermal conductivity w.r.t grain size

Phonon lifetime and scattering rates

../../_images/fig_lifetime6518.png

(a) Phonon lifetime due to phonon-phonon scattering

../../_images/fig_scat_rates6517.png

(b) Phonon scattering rates

Cumulative and spectral thermal conductivity

../../_images/fig_cumu_frequency6518.png

(a) Spectral and cumulative thermal conductivity w.r.t frequency

../../_images/fig_cumu_mfp6517.png

(b) Spectral and cumulative thermal conductivity w.r.t MFP

Force constants

../../_images/fig_fc214883.png

(a) Force constants w.r.t atomic distance

Summary

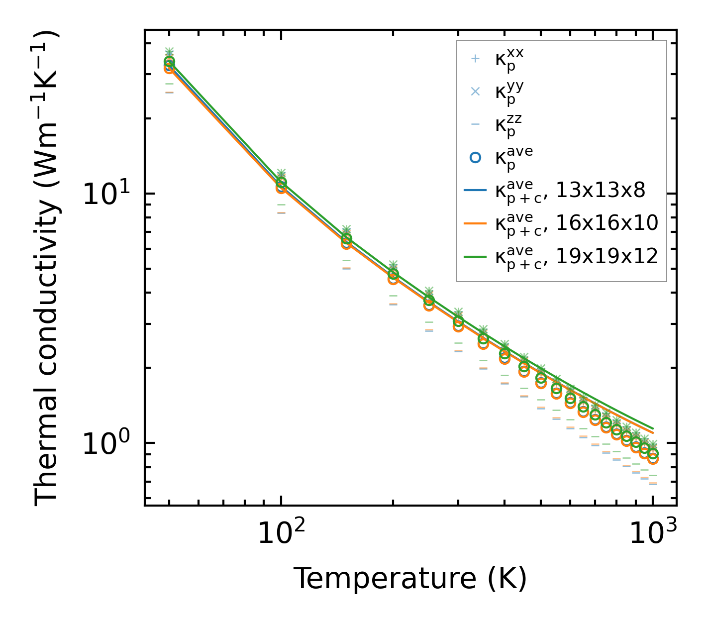
../../_images/fig_kappa12393.png

(a) Temperature-dependent lattice thermal conductivity

../../_images/fig_times25268.png

(b) Computation time