mp-1219643/Rb3Br2Cl/anharm

Harmonic properties

../../_images/fig_bandos_pr15282.png

(a) Phonon dispersion with participation ratio and DOS

../../_images/fig_thermo15281.png

(b) Thermodynamic properties

Grüneisen parameters

../../_images/fig_gru_all6590.png

(a) Grüneisen parameters

../../_images/fig_gruneisen6590.png

(b) Phonon dispersion with Grüneisen parameters

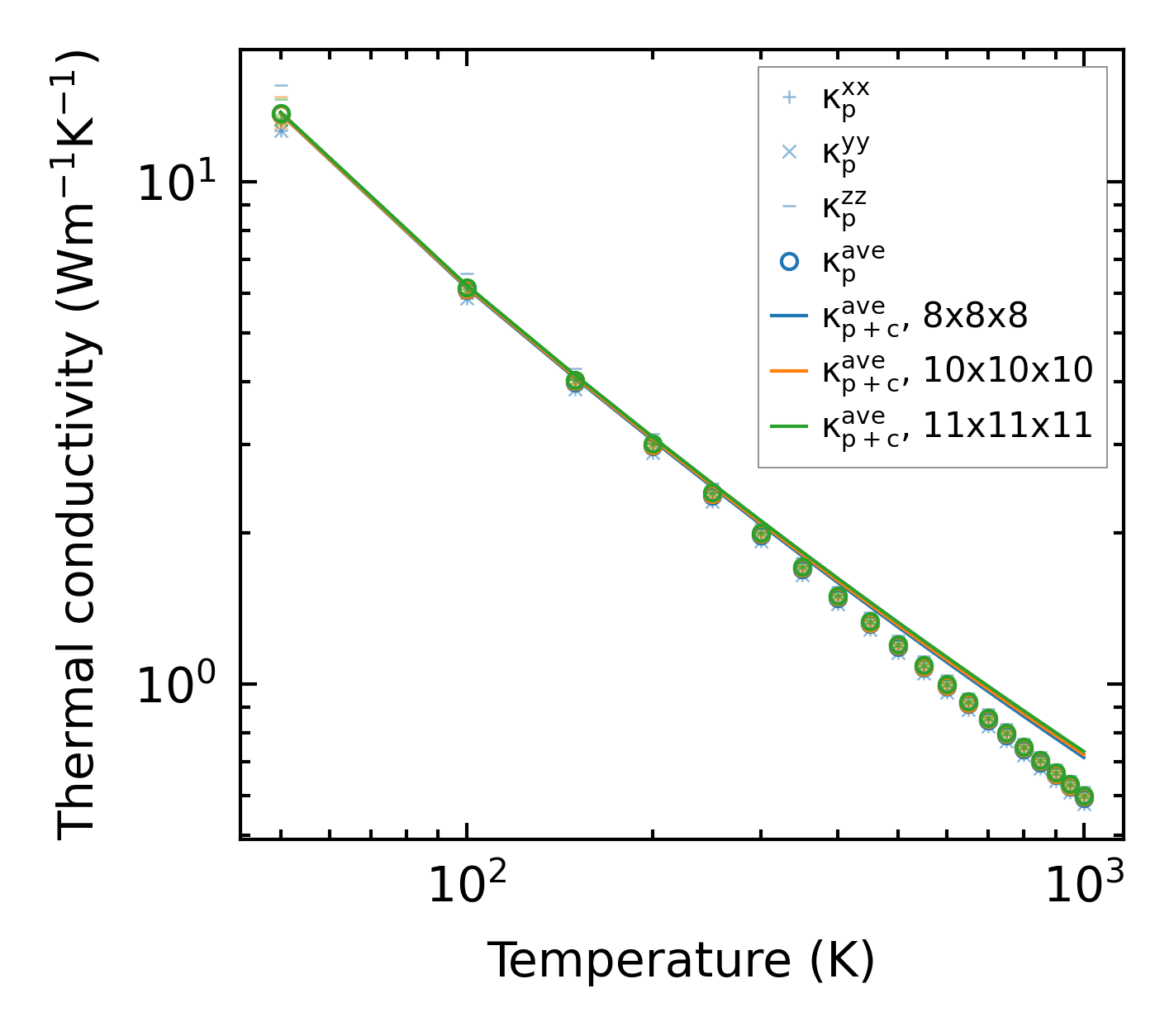
Thermal conductivity

3-phonon — q-mesh: 11x11x11, supercell: 3x3x1

../../_images/fig_kappa12404.png

(a) Temperature-dependent lattice thermal conductivity

../../_images/fig_kappa_vs_grain_size6668.png

(b) Peierls lattice thermal conductivity w.r.t grain size

Phonon lifetime and scattering rates

../../_images/fig_lifetime6524.png

(a) Phonon lifetime due to phonon-phonon scattering

../../_images/fig_scat_rates6523.png

(b) Phonon scattering rates

Cumulative and spectral thermal conductivity

../../_images/fig_cumu_frequency6524.png

(a) Spectral and cumulative thermal conductivity w.r.t frequency

../../_images/fig_cumu_mfp6523.png

(b) Spectral and cumulative thermal conductivity w.r.t MFP

Force constants

../../_images/fig_fc3391.png

(a) Force constants w.r.t atomic distance

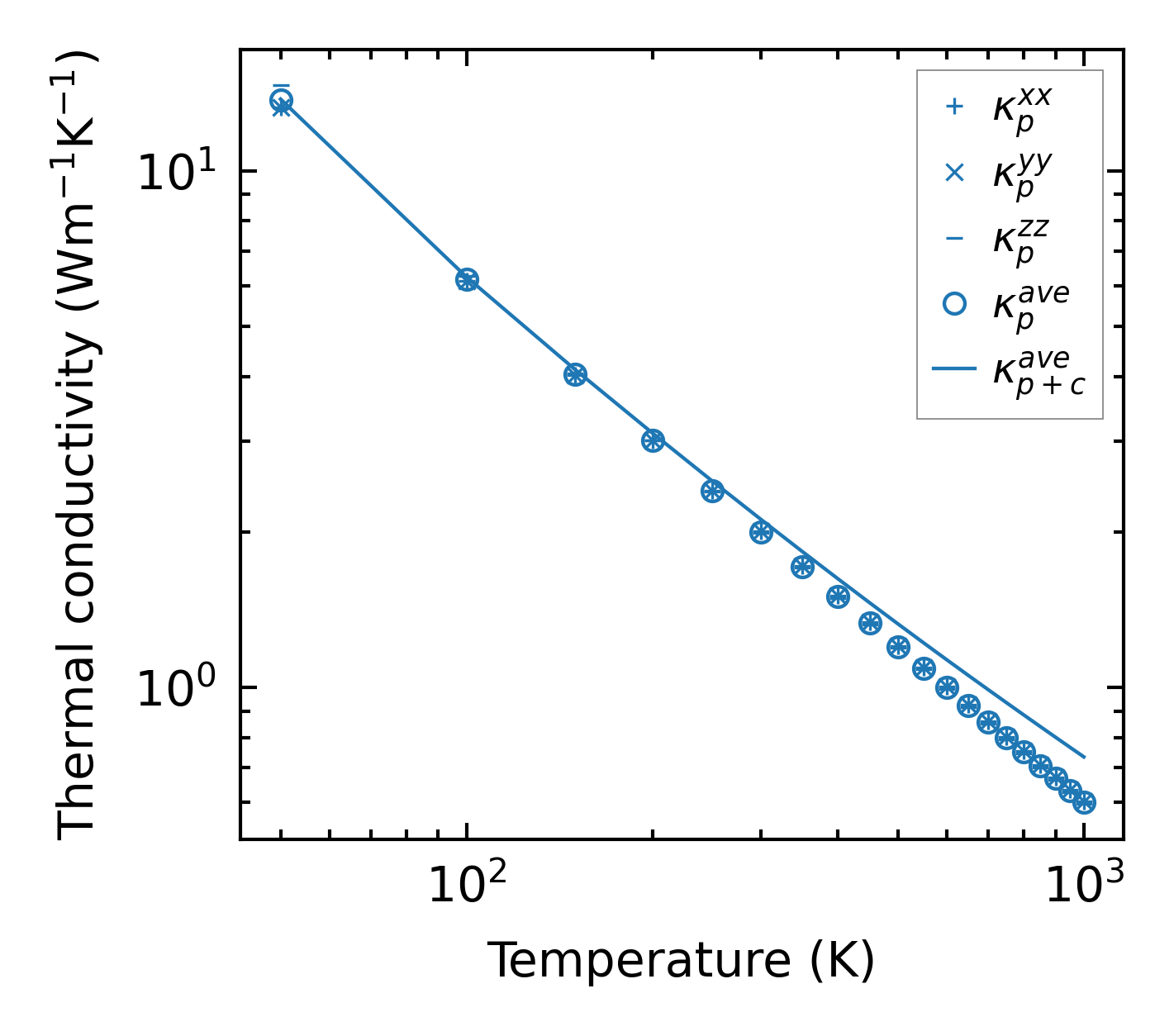
Summary

../../_images/fig_kappa12405.png

(a) Temperature-dependent lattice thermal conductivity

../../_images/fig_times25283.png

(b) Computation time