mp-1219553/RbBH4/anharm

Equation of state

../../_images/fig_bm7556.png

(a) Equation of state

Harmonic properties

../../_images/fig_bandos_pr15278.png

(a) Phonon dispersion with participation ratio and DOS

../../_images/fig_bandos19655.png

(b) Phonon dispersion and DOS

../../_images/fig_thermo15277.png

(c) Thermodynamic properties

Grüneisen parameters

../../_images/fig_gru_all6587.png

(a) Grüneisen parameters

../../_images/fig_gruneisen6587.png

(b) Phonon dispersion with Grüneisen parameters

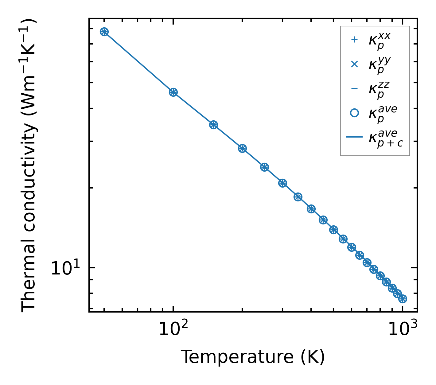
Thermal conductivity

3-phonon (LASSO) — q-mesh: 16x16x16, supercell: 1x1x1

../../_images/fig_kappa12397.png

(a) Temperature-dependent lattice thermal conductivity

../../_images/fig_kappa_vs_grain_size6664.png

(b) Peierls lattice thermal conductivity w.r.t grain size

3-phonon (LASSO), supercell 2x2x2 — q-mesh: 16x16x16, supercell: 2x2x2

../../_images/fig_kappa12398.png

(a) Temperature-dependent lattice thermal conductivity

../../_images/fig_kappa_vs_grain_size6665.png

(b) Peierls lattice thermal conductivity w.r.t grain size

Phonon lifetime and scattering rates

../../_images/fig_lifetime6521.png

(a) Phonon lifetime due to phonon-phonon scattering

../../_images/fig_scat_rates6520.png

(b) Phonon scattering rates

Cumulative and spectral thermal conductivity

../../_images/fig_cumu_frequency6521.png

(a) Spectral and cumulative thermal conductivity w.r.t frequency

../../_images/fig_cumu_mfp6520.png

(b) Spectral and cumulative thermal conductivity w.r.t MFP

Force constants

../../_images/fig_fc214888.png

(a) Force constants w.r.t atomic distance

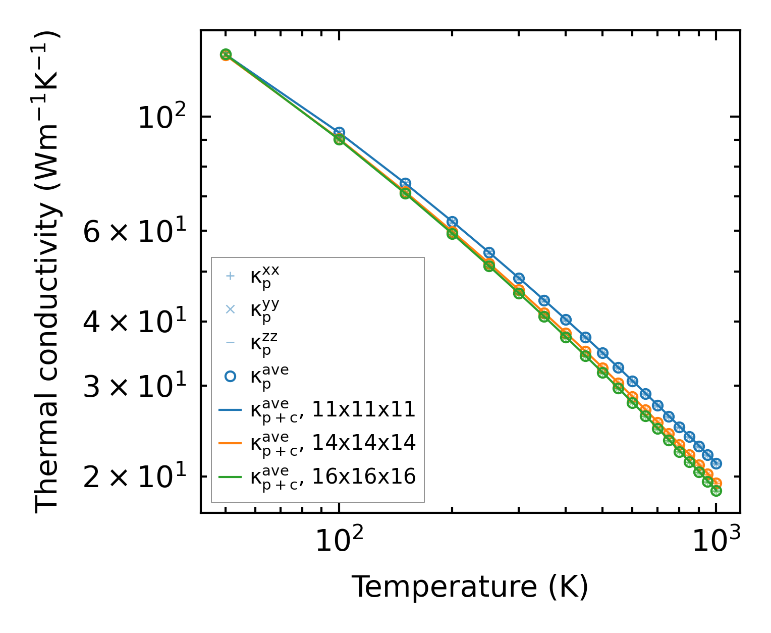
Summary

../../_images/fig_kappa12399.png

(a) Temperature-dependent lattice thermal conductivity

../../_images/fig_times25275.png

(b) Computation time