mp-1219306/Si5C3/harm

Harmonic properties

../../_images/fig_bandos_pr15272.png

(a) Phonon dispersion with participation ratio and DOS

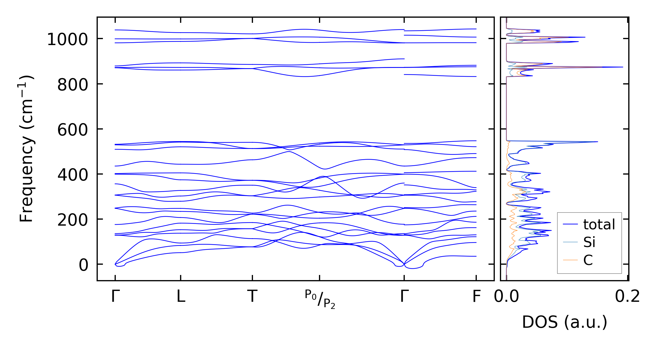
../../_images/fig_bandos19649.png

(b) Phonon dispersion and DOS

../../_images/fig_thermo15271.png

(c) Thermodynamic properties

Force constants

../../_images/fig_fc214882.png

(a) Force constants w.r.t atomic distance

Summary

../../_images/fig_times25267.png

(a) Computation time