mp-1219553-2/RbBH4/anharm

Harmonic properties

../../_images/fig_bandos_pr15279.png

(a) Phonon dispersion with participation ratio and DOS

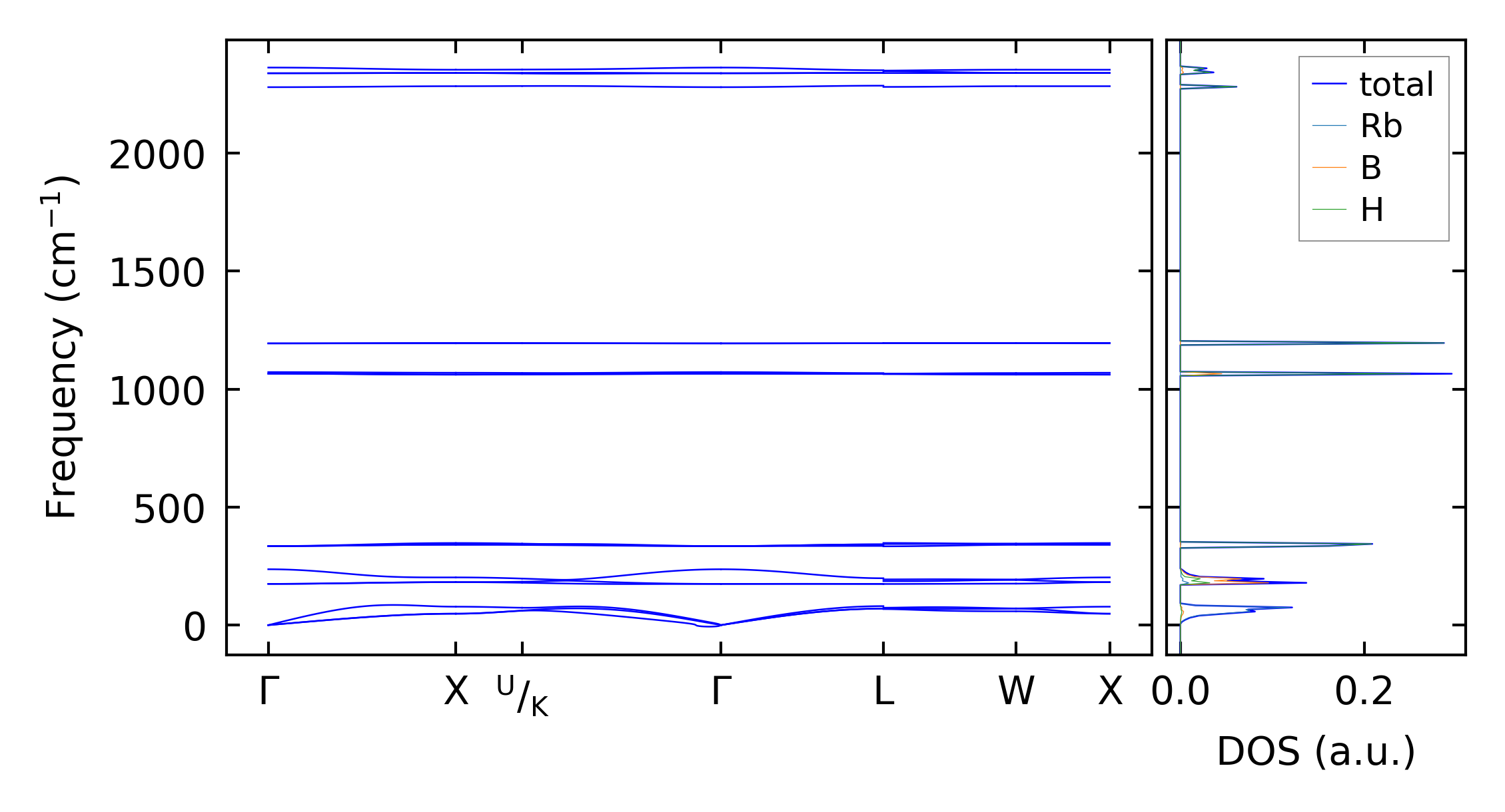
../../_images/fig_bandos19656.png

(b) Phonon dispersion and DOS

../../_images/fig_thermo15278.png

(c) Thermodynamic properties

Grüneisen parameters

../../_images/fig_gru_all6588.png

(a) Grüneisen parameters

../../_images/fig_gruneisen6588.png

(b) Phonon dispersion with Grüneisen parameters

Thermal conductivity

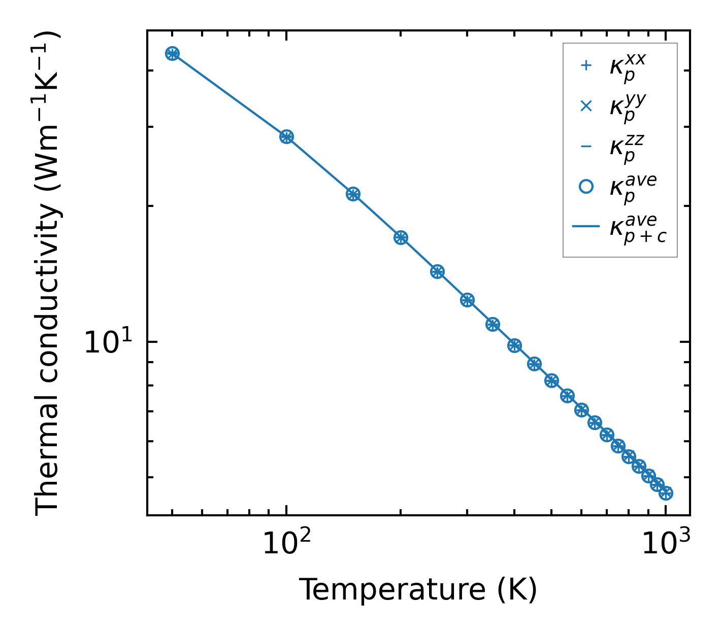
3-phonon (LASSO) — q-mesh: 16x16x16, supercell: 1x1x1

../../_images/fig_kappa12400.png

(a) Temperature-dependent lattice thermal conductivity

../../_images/fig_kappa_vs_grain_size6666.png

(b) Peierls lattice thermal conductivity w.r.t grain size

Phonon lifetime and scattering rates

../../_images/fig_lifetime6522.png

(a) Phonon lifetime due to phonon-phonon scattering

../../_images/fig_scat_rates6521.png

(b) Phonon scattering rates

Cumulative and spectral thermal conductivity

../../_images/fig_cumu_frequency6522.png

(a) Spectral and cumulative thermal conductivity w.r.t frequency

../../_images/fig_cumu_mfp6521.png

(b) Spectral and cumulative thermal conductivity w.r.t MFP

Force constants

../../_images/fig_fc214889.png

(a) Force constants w.r.t atomic distance

Summary

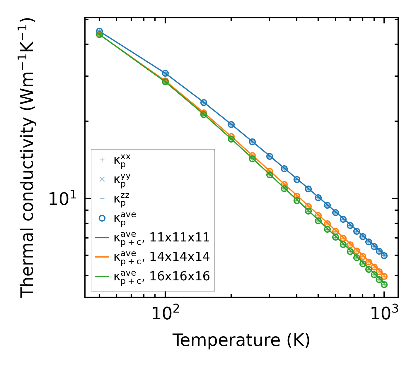
../../_images/fig_kappa12401.png

(a) Temperature-dependent lattice thermal conductivity

../../_images/fig_times25276.png

(b) Computation time