mp-1219274/ScNbNi2Sn2/anharm

Harmonic properties

../../_images/fig_bandos_pr15269.png

(a) Phonon dispersion with participation ratio and DOS

../../_images/fig_thermo15268.png

(b) Thermodynamic properties

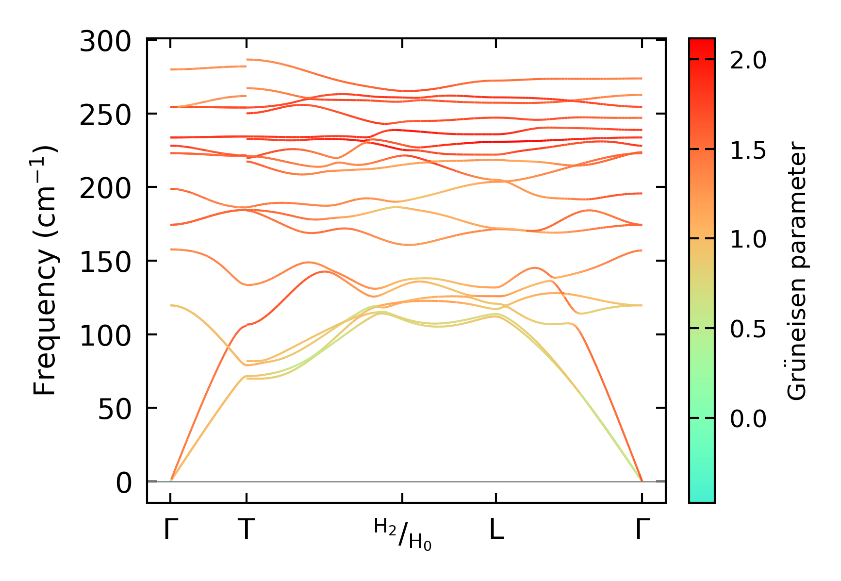
Grüneisen parameters

../../_images/fig_gru_all6583.png

(a) Grüneisen parameters

../../_images/fig_gruneisen6583.png

(b) Phonon dispersion with Grüneisen parameters

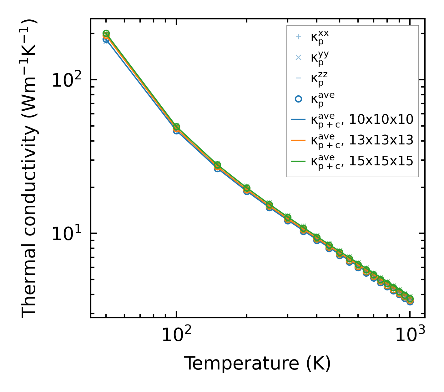
Thermal conductivity

3-phonon (LASSO) — q-mesh: 15x15x15, supercell: 2x2x1

../../_images/fig_kappa12390.png

(a) Temperature-dependent lattice thermal conductivity

../../_images/fig_kappa_vs_grain_size6660.png

(b) Peierls lattice thermal conductivity w.r.t grain size

Phonon lifetime and scattering rates

../../_images/fig_lifetime6517.png

(a) Phonon lifetime due to phonon-phonon scattering

../../_images/fig_scat_rates6516.png

(b) Phonon scattering rates

Cumulative and spectral thermal conductivity

../../_images/fig_cumu_frequency6517.png

(a) Spectral and cumulative thermal conductivity w.r.t frequency

../../_images/fig_cumu_mfp6516.png

(b) Spectral and cumulative thermal conductivity w.r.t MFP

Force constants

../../_images/fig_fc214879.png

(a) Force constants w.r.t atomic distance

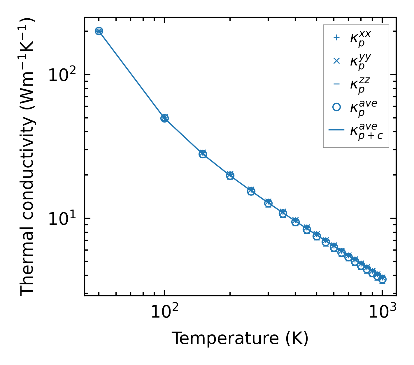
Summary

../../_images/fig_kappa12391.png

(a) Temperature-dependent lattice thermal conductivity

../../_images/fig_times25263.png

(b) Computation time