mp-1194989/Na2Ho2B2TeO10/anharm

Harmonic properties

../../_images/fig_bandos_pr15519.png

(a) Phonon dispersion with participation ratio and DOS

../../_images/fig_thermo15518.png

(b) Thermodynamic properties

Grüneisen parameters

../../_images/fig_gru_all6720.png

(a) Grüneisen parameters

../../_images/fig_gruneisen6720.png

(b) Phonon dispersion with Grüneisen parameters

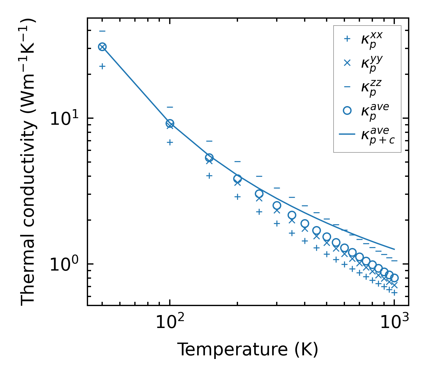
Thermal conductivity

3-phonon (LASSO) — q-mesh: 11x7x10, supercell: 2x1x2

../../_images/fig_kappa12653.png

(a) Temperature-dependent lattice thermal conductivity

../../_images/fig_kappa_vs_grain_size6799.png

(b) Peierls lattice thermal conductivity w.r.t grain size

Phonon lifetime and scattering rates

../../_images/fig_lifetime6654.png

(a) Phonon lifetime due to phonon-phonon scattering

../../_images/fig_scat_rates6653.png

(b) Phonon scattering rates

Cumulative and spectral thermal conductivity

../../_images/fig_cumu_frequency6654.png

(a) Spectral and cumulative thermal conductivity w.r.t frequency

../../_images/fig_cumu_mfp6653.png

(b) Spectral and cumulative thermal conductivity w.r.t MFP

Force constants

../../_images/fig_fc215114.png

(a) Force constants w.r.t atomic distance

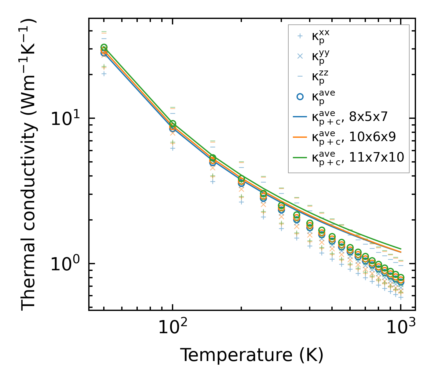
Summary

../../_images/fig_kappa12654.png

(a) Temperature-dependent lattice thermal conductivity

../../_images/fig_times25647.png

(b) Computation time