mp-1194436/KCu2BiS3/anharm

Harmonic properties

../../_images/fig_bandos_pr15873.png

(a) Phonon dispersion with participation ratio and DOS

../../_images/fig_thermo15872.png

(b) Thermodynamic properties

Grüneisen parameters

../../_images/fig_gru_all6873.png

(a) Grüneisen parameters

../../_images/fig_gruneisen6873.png

(b) Phonon dispersion with Grüneisen parameters

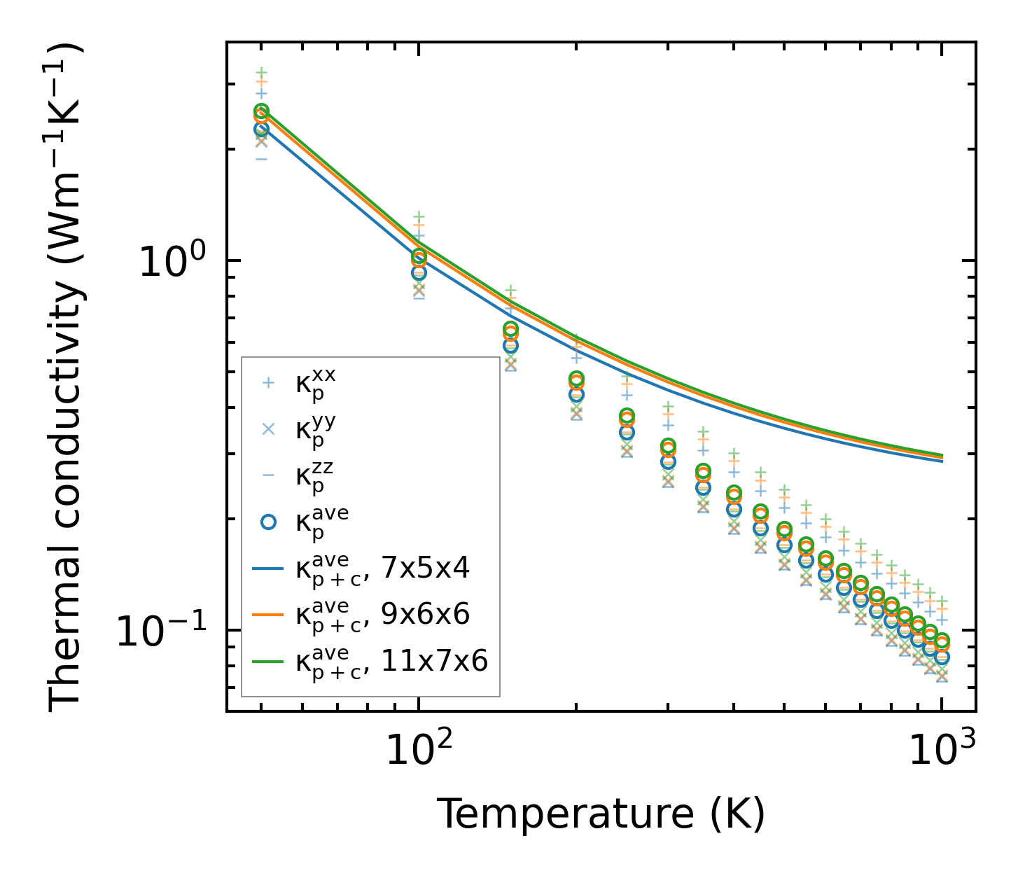
Thermal conductivity

3-phonon (LASSO) — q-mesh: 11x7x6, supercell: 2x2x1

../../_images/fig_kappa12943.png

(a) Temperature-dependent lattice thermal conductivity

../../_images/fig_kappa_vs_grain_size6953.png

(b) Peierls lattice thermal conductivity w.r.t grain size

Phonon lifetime and scattering rates

../../_images/fig_lifetime6807.png

(a) Phonon lifetime due to phonon-phonon scattering

../../_images/fig_scat_rates6806.png

(b) Phonon scattering rates

Cumulative and spectral thermal conductivity

../../_images/fig_cumu_frequency6807.png

(a) Spectral and cumulative thermal conductivity w.r.t frequency

../../_images/fig_cumu_mfp6806.png

(b) Spectral and cumulative thermal conductivity w.r.t MFP

Force constants

../../_images/fig_fc215468.png

(a) Force constants w.r.t atomic distance

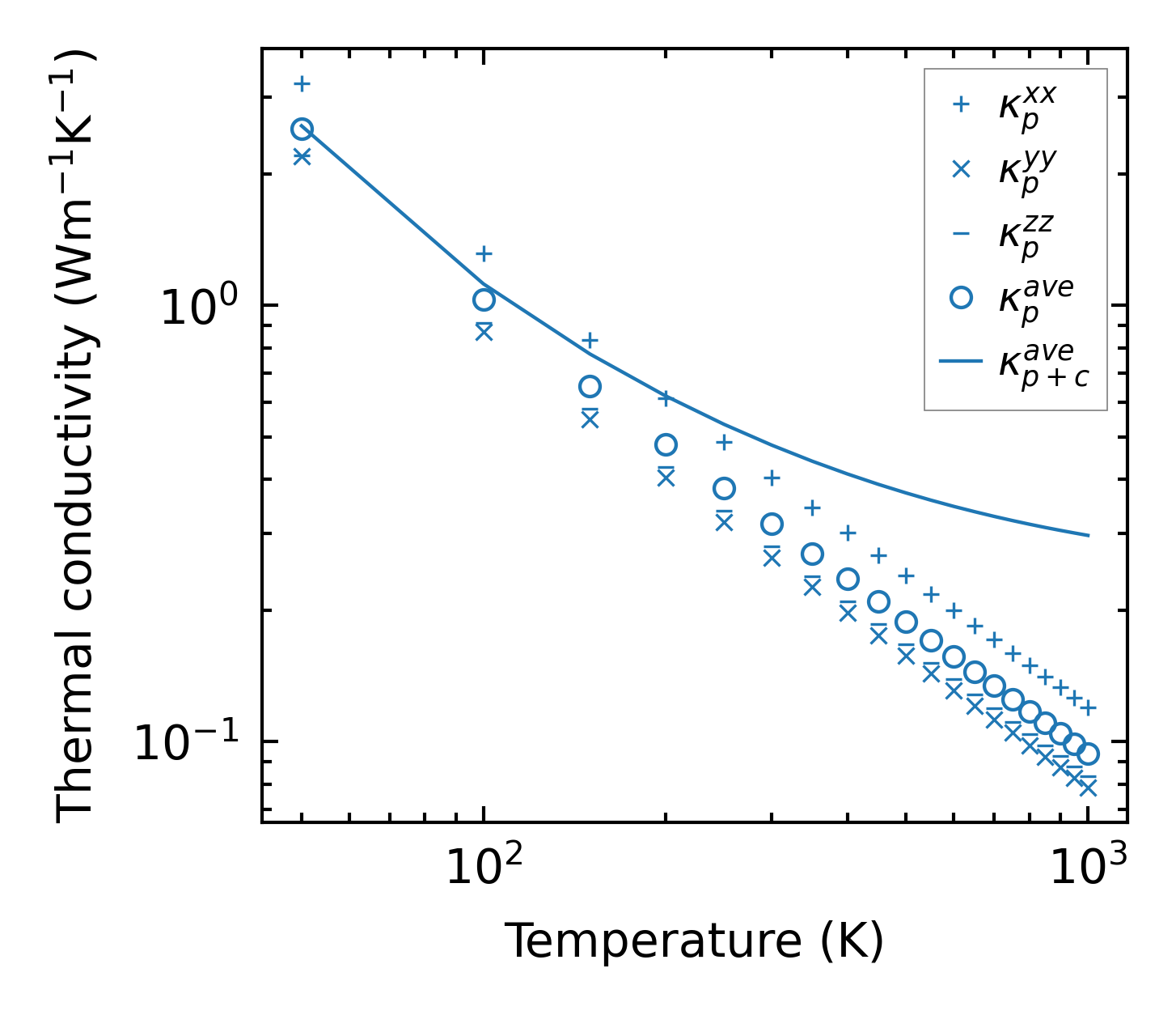
Summary

../../_images/fig_kappa12944.png

(a) Temperature-dependent lattice thermal conductivity

../../_images/fig_times26158.png

(b) Computation time