mp-1194365/ThB4O8/anharm

Harmonic properties

../../_images/fig_bandos_pr15869.png

(a) Phonon dispersion with participation ratio and DOS

../../_images/fig_bandos20278.png

(b) Phonon dispersion and DOS

../../_images/fig_thermo15868.png

(c) Thermodynamic properties

Grüneisen parameters

../../_images/fig_gru_all6871.png

(a) Grüneisen parameters

../../_images/fig_gruneisen6871.png

(b) Phonon dispersion with Grüneisen parameters

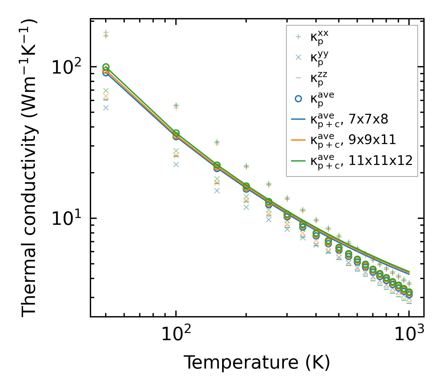
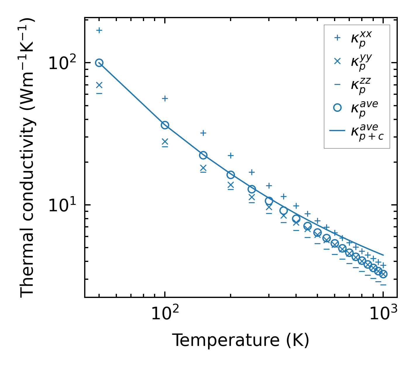
Thermal conductivity

3-phonon (LASSO) — q-mesh: 11x11x12, supercell: 1x2x1

../../_images/fig_kappa12940.png

(a) Temperature-dependent lattice thermal conductivity

../../_images/fig_kappa_vs_grain_size6951.png

(b) Peierls lattice thermal conductivity w.r.t grain size

Phonon lifetime and scattering rates

../../_images/fig_lifetime6805.png

(a) Phonon lifetime due to phonon-phonon scattering

../../_images/fig_scat_rates6804.png

(b) Phonon scattering rates

Cumulative and spectral thermal conductivity

../../_images/fig_cumu_frequency6805.png

(a) Spectral and cumulative thermal conductivity w.r.t frequency

../../_images/fig_cumu_mfp6804.png

(b) Spectral and cumulative thermal conductivity w.r.t MFP

Force constants

../../_images/fig_fc215464.png

(a) Force constants w.r.t atomic distance

Summary

../../_images/fig_kappa12941.png

(a) Temperature-dependent lattice thermal conductivity

../../_images/fig_times26151.png

(b) Computation time