mp-1194208-3/SrYb2S4/anharm

Harmonic properties

../../_images/fig_bandos_pr15863.png

(a) Phonon dispersion with participation ratio and DOS

../../_images/fig_thermo15862.png

(b) Thermodynamic properties

Grüneisen parameters

../../_images/fig_gru_all6869.png

(a) Grüneisen parameters

../../_images/fig_gruneisen6869.png

(b) Phonon dispersion with Grüneisen parameters

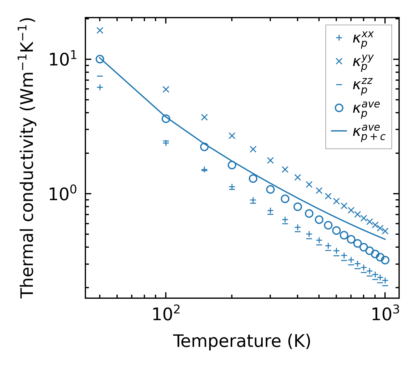
Thermal conductivity

3-phonon (LASSO) — q-mesh: 6x17x4, supercell: 1x3x1

../../_images/fig_kappa12936.png

(a) Temperature-dependent lattice thermal conductivity

../../_images/fig_kappa_vs_grain_size6949.png

(b) Peierls lattice thermal conductivity w.r.t grain size

Phonon lifetime and scattering rates

../../_images/fig_lifetime6803.png

(a) Phonon lifetime due to phonon-phonon scattering

../../_images/fig_scat_rates6802.png

(b) Phonon scattering rates

Cumulative and spectral thermal conductivity

../../_images/fig_cumu_frequency6803.png

(a) Spectral and cumulative thermal conductivity w.r.t frequency

../../_images/fig_cumu_mfp6802.png

(b) Spectral and cumulative thermal conductivity w.r.t MFP

Force constants

../../_images/fig_fc215458.png

(a) Force constants w.r.t atomic distance

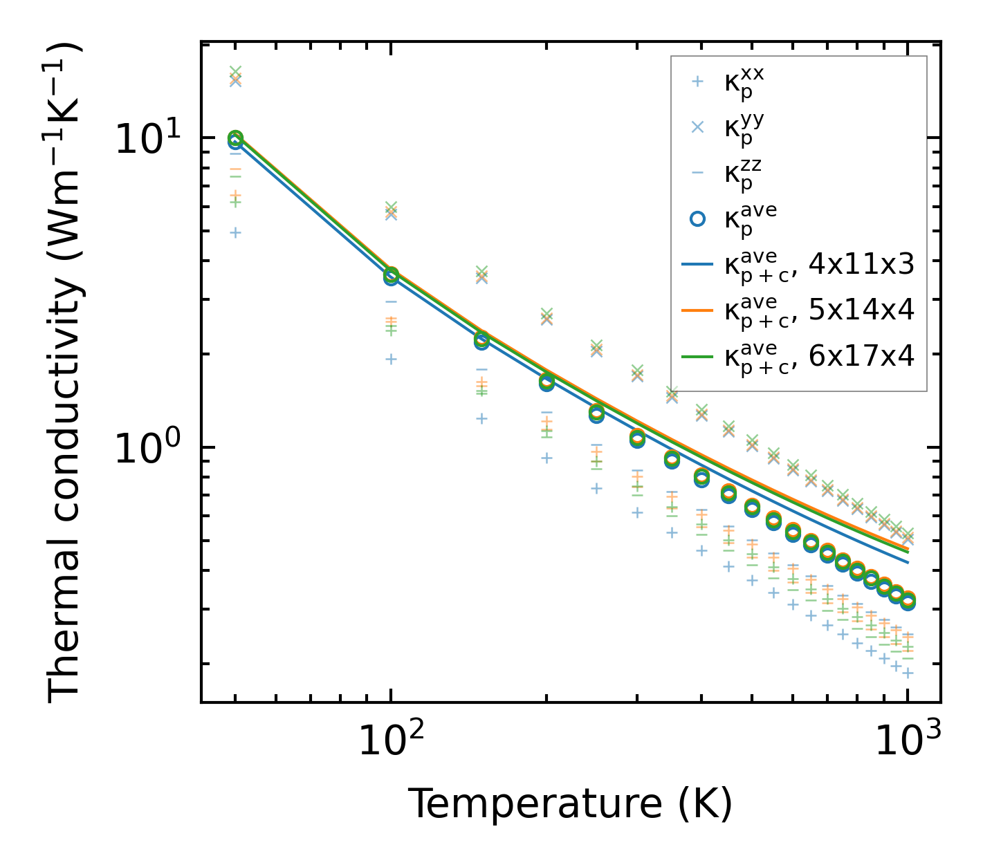
Summary

../../_images/fig_kappa12937.png

(a) Temperature-dependent lattice thermal conductivity

../../_images/fig_times26142.png

(b) Computation time