mp-1194203/Sr2SnO4/anharm

Harmonic properties

../../_images/fig_bandos_pr15860.png

(a) Phonon dispersion with participation ratio and DOS

../../_images/fig_thermo15859.png

(b) Thermodynamic properties

Grüneisen parameters

../../_images/fig_gru_all6866.png

(a) Grüneisen parameters

../../_images/fig_gruneisen6866.png

(b) Phonon dispersion with Grüneisen parameters

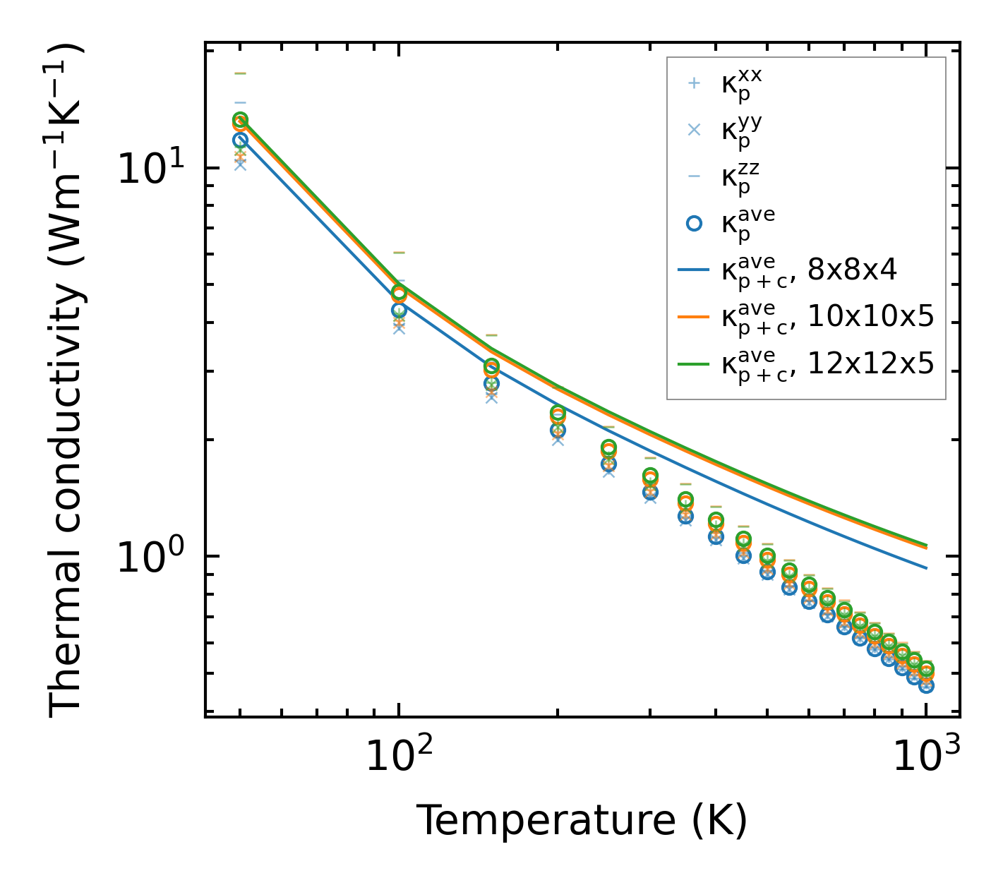
Thermal conductivity

3-phonon (LASSO) — q-mesh: 12x12x5, supercell: 2x2x1

../../_images/fig_kappa12930.png

(a) Temperature-dependent lattice thermal conductivity

../../_images/fig_kappa_vs_grain_size6946.png

(b) Peierls lattice thermal conductivity w.r.t grain size

Phonon lifetime and scattering rates

../../_images/fig_lifetime6800.png

(a) Phonon lifetime due to phonon-phonon scattering

../../_images/fig_scat_rates6799.png

(b) Phonon scattering rates

Cumulative and spectral thermal conductivity

../../_images/fig_cumu_frequency6800.png

(a) Spectral and cumulative thermal conductivity w.r.t frequency

../../_images/fig_cumu_mfp6799.png

(b) Spectral and cumulative thermal conductivity w.r.t MFP

Force constants

../../_images/fig_fc215455.png

(a) Force constants w.r.t atomic distance

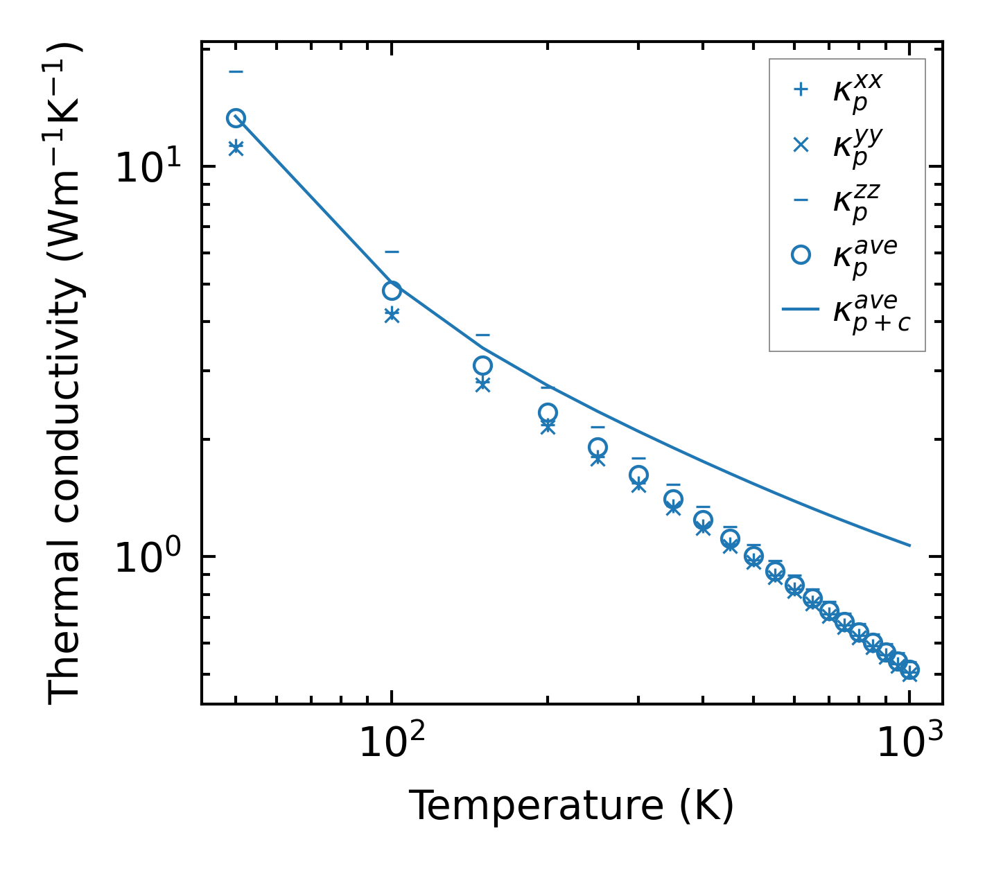
Summary

../../_images/fig_kappa12931.png

(a) Temperature-dependent lattice thermal conductivity

../../_images/fig_times26139.png

(b) Computation time