mp-1194989-2/Na2Ho2B2TeO10/anharm

Harmonic properties

../../_images/fig_bandos_pr15520.png

(a) Phonon dispersion with participation ratio and DOS

../../_images/fig_thermo15519.png

(b) Thermodynamic properties

Grüneisen parameters

../../_images/fig_gru_all6721.png

(a) Grüneisen parameters

../../_images/fig_gruneisen6721.png

(b) Phonon dispersion with Grüneisen parameters

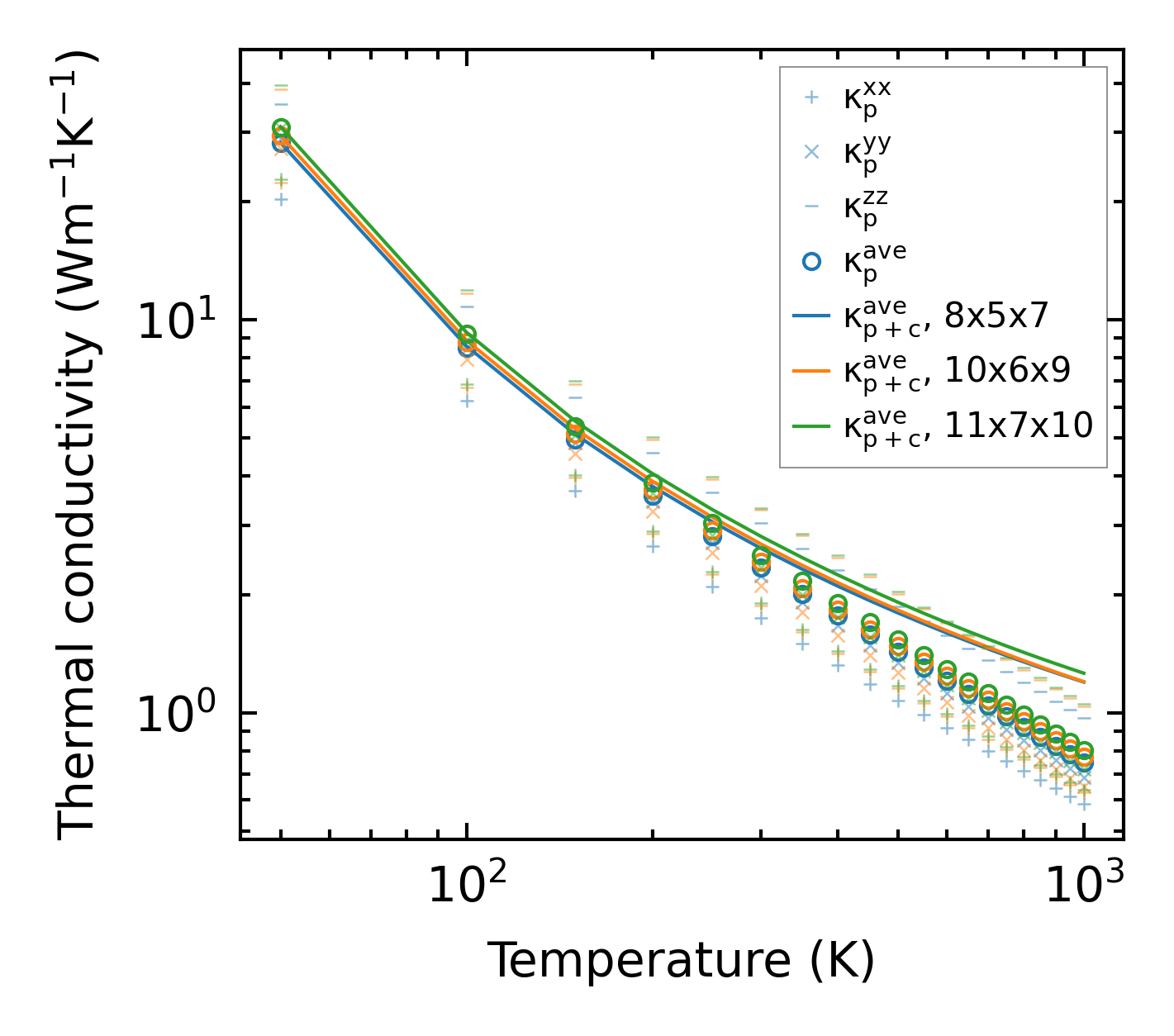
Thermal conductivity

3-phonon (LASSO) — q-mesh: 11x7x10, supercell: 2x1x2

../../_images/fig_kappa12655.png

(a) Temperature-dependent lattice thermal conductivity

../../_images/fig_kappa_vs_grain_size6800.png

(b) Peierls lattice thermal conductivity w.r.t grain size

Phonon lifetime and scattering rates

../../_images/fig_lifetime6655.png

(a) Phonon lifetime due to phonon-phonon scattering

../../_images/fig_scat_rates6654.png

(b) Phonon scattering rates

Cumulative and spectral thermal conductivity

../../_images/fig_cumu_frequency6655.png

(a) Spectral and cumulative thermal conductivity w.r.t frequency

../../_images/fig_cumu_mfp6654.png

(b) Spectral and cumulative thermal conductivity w.r.t MFP

Force constants

../../_images/fig_fc215115.png

(a) Force constants w.r.t atomic distance

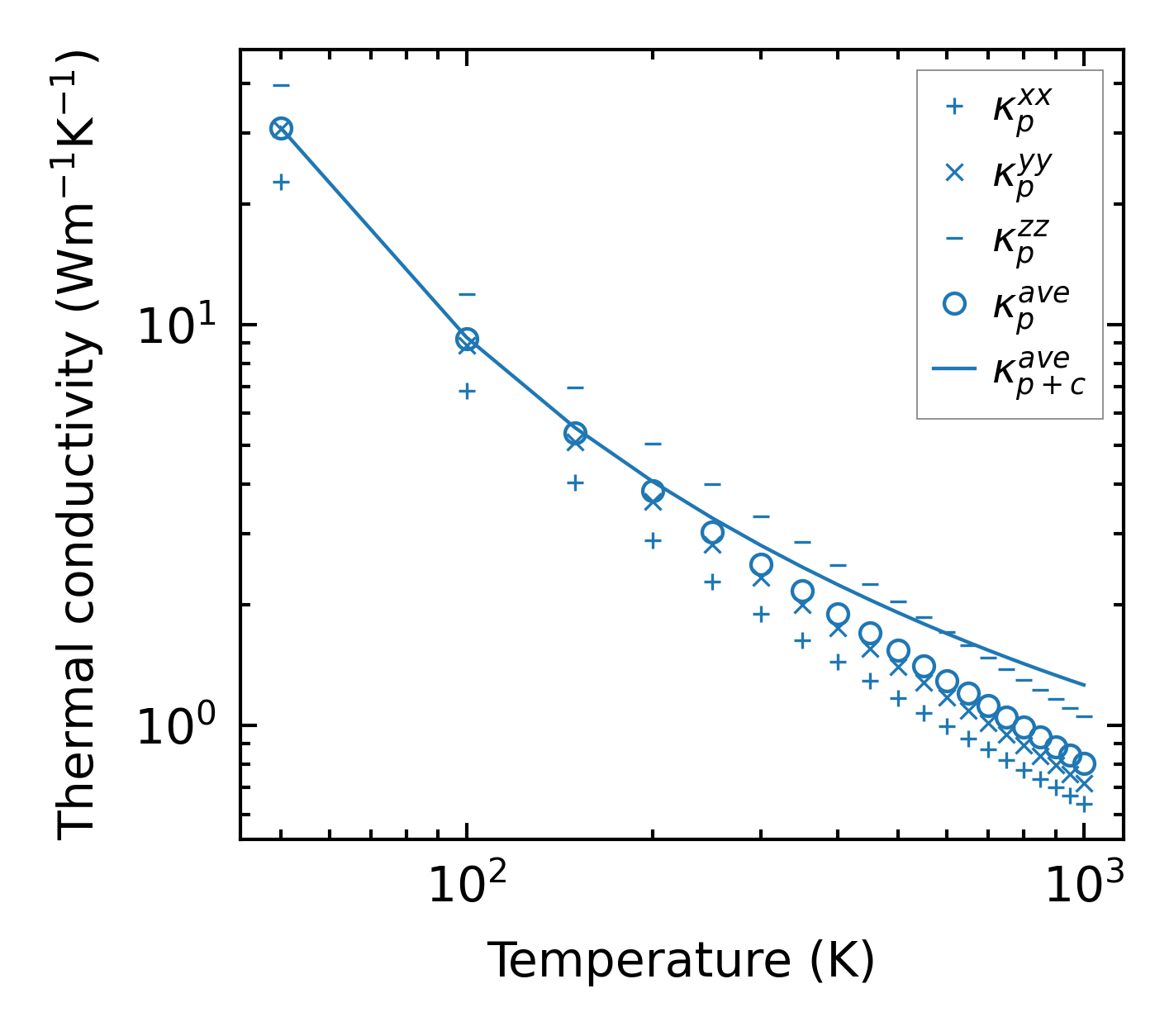
Summary

../../_images/fig_kappa12656.png

(a) Temperature-dependent lattice thermal conductivity

../../_images/fig_times25648.png

(b) Computation time