mp-1194587/Na2Y2B2TeO10/anharm

Harmonic properties

../../_images/fig_bandos_pr15877.png

(a) Phonon dispersion with participation ratio and DOS

../../_images/fig_thermo15876.png

(b) Thermodynamic properties

Grüneisen parameters

../../_images/fig_gru_all6874.png

(a) Grüneisen parameters

../../_images/fig_gruneisen6874.png

(b) Phonon dispersion with Grüneisen parameters

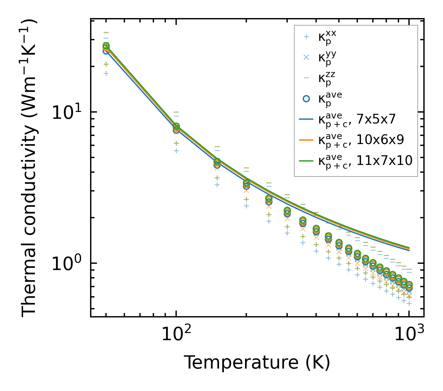
Thermal conductivity

3-phonon (LASSO) — q-mesh: 11x7x10, supercell: 2x1x2

../../_images/fig_kappa12945.png

(a) Temperature-dependent lattice thermal conductivity

../../_images/fig_kappa_vs_grain_size6954.png

(b) Peierls lattice thermal conductivity w.r.t grain size

Phonon lifetime and scattering rates

../../_images/fig_lifetime6808.png

(a) Phonon lifetime due to phonon-phonon scattering

../../_images/fig_scat_rates6807.png

(b) Phonon scattering rates

Cumulative and spectral thermal conductivity

../../_images/fig_cumu_frequency6808.png

(a) Spectral and cumulative thermal conductivity w.r.t frequency

../../_images/fig_cumu_mfp6807.png

(b) Spectral and cumulative thermal conductivity w.r.t MFP

Force constants

../../_images/fig_fc215472.png

(a) Force constants w.r.t atomic distance

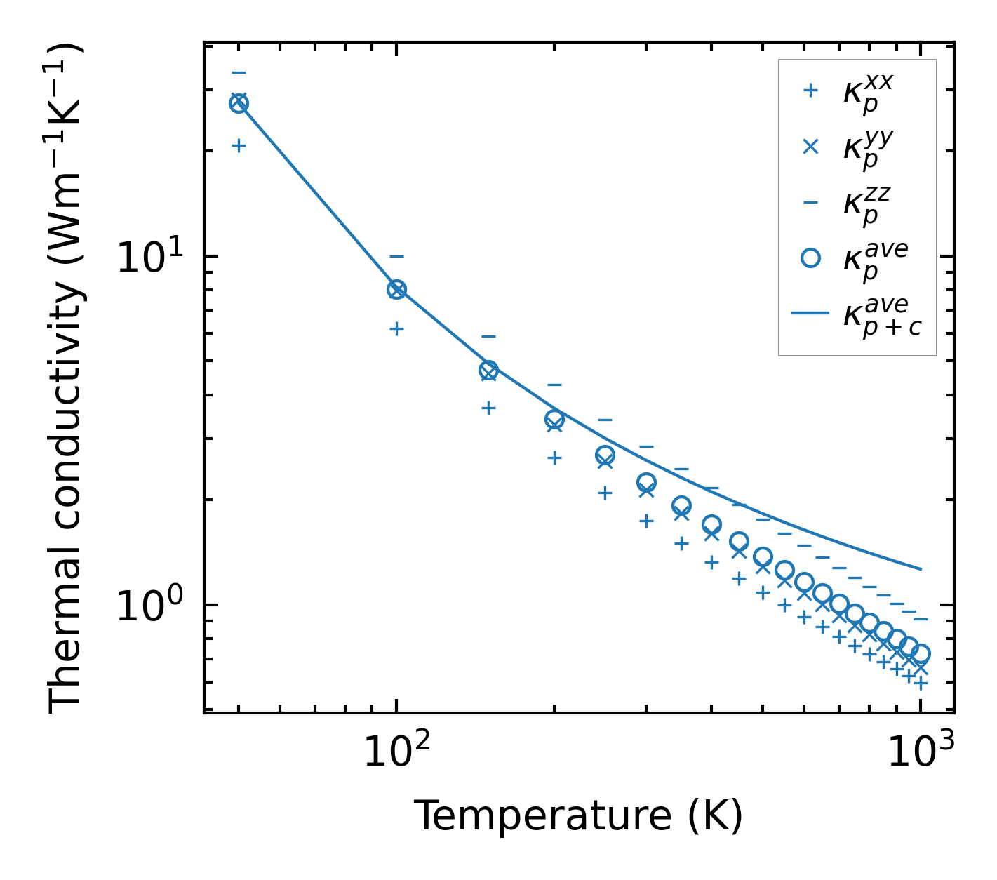
Summary

../../_images/fig_kappa12946.png

(a) Temperature-dependent lattice thermal conductivity

../../_images/fig_times26163.png

(b) Computation time