mp-1194834/BaSc2Si3O10/anharm

Harmonic properties

../../_images/fig_bandos_pr15883.png

(a) Phonon dispersion with participation ratio and DOS

../../_images/fig_thermo15882.png

(b) Thermodynamic properties

Grüneisen parameters

../../_images/fig_gru_all6877.png

(a) Grüneisen parameters

../../_images/fig_gruneisen6877.png

(b) Phonon dispersion with Grüneisen parameters

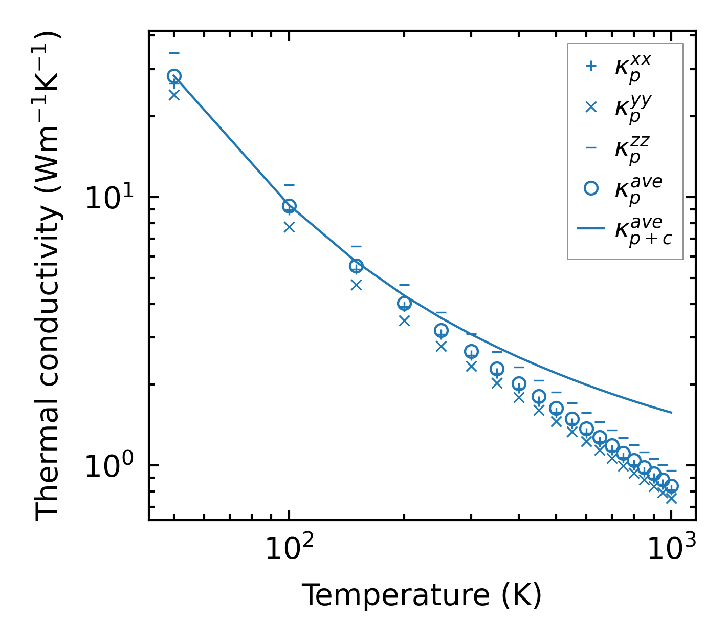
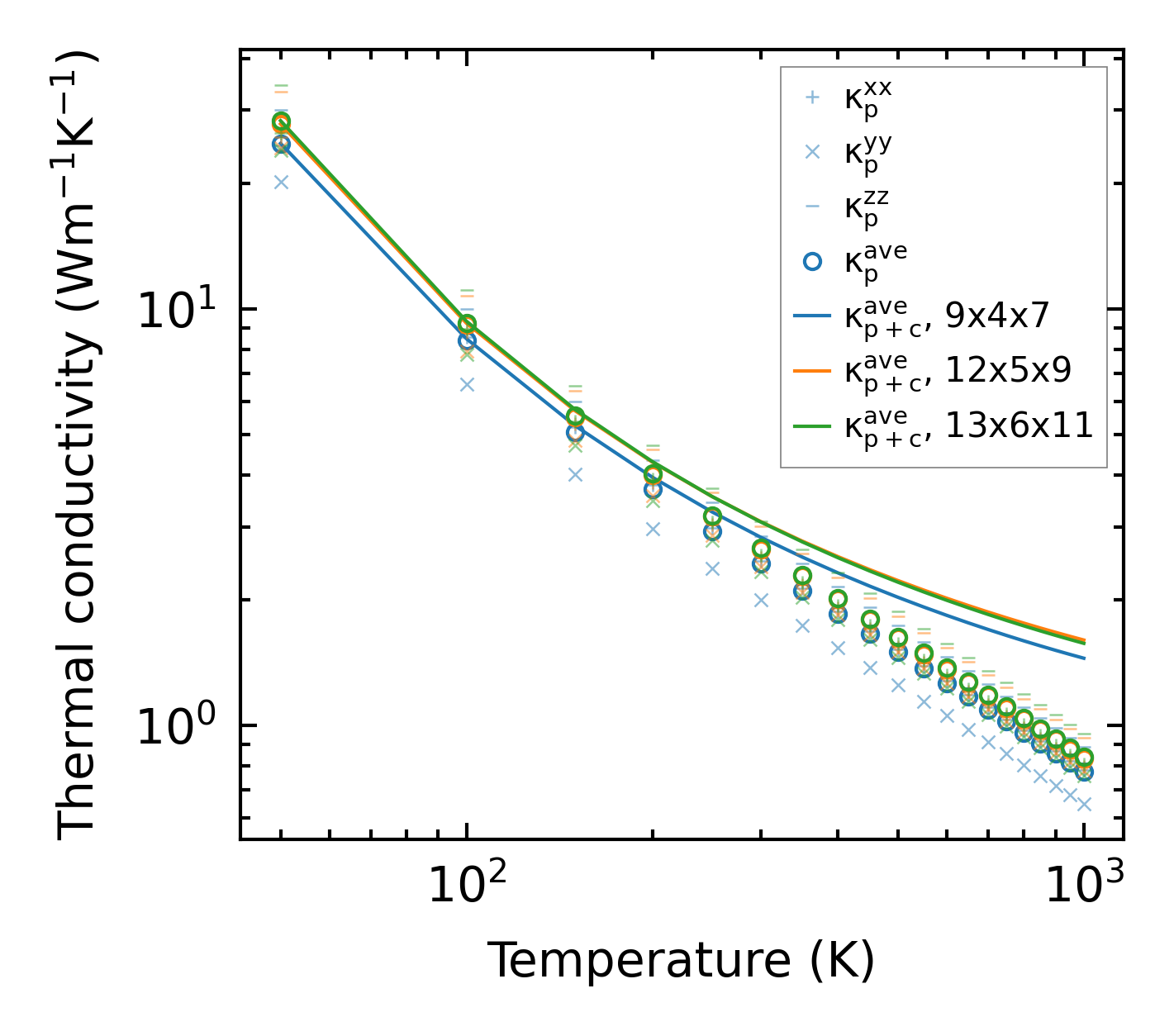
Thermal conductivity

3-phonon (LASSO) — q-mesh: 13x6x11, supercell: 2x1x2

../../_images/fig_kappa12951.png

(a) Temperature-dependent lattice thermal conductivity

../../_images/fig_kappa_vs_grain_size6957.png

(b) Peierls lattice thermal conductivity w.r.t grain size

Phonon lifetime and scattering rates

../../_images/fig_lifetime6811.png

(a) Phonon lifetime due to phonon-phonon scattering

../../_images/fig_scat_rates6810.png

(b) Phonon scattering rates

Cumulative and spectral thermal conductivity

../../_images/fig_cumu_frequency6811.png

(a) Spectral and cumulative thermal conductivity w.r.t frequency

../../_images/fig_cumu_mfp6810.png

(b) Spectral and cumulative thermal conductivity w.r.t MFP

Force constants

../../_images/fig_fc215478.png

(a) Force constants w.r.t atomic distance

Summary

../../_images/fig_kappa12952.png

(a) Temperature-dependent lattice thermal conductivity

../../_images/fig_times26169.png

(b) Computation time