mp-1194043-2/ErBO3/anharm

Harmonic properties

../../_images/fig_bandos_pr15852.png

(a) Phonon dispersion with participation ratio and DOS

../../_images/fig_thermo15851.png

(b) Thermodynamic properties

Grüneisen parameters

../../_images/fig_gru_all6860.png

(a) Grüneisen parameters

../../_images/fig_gruneisen6860.png

(b) Phonon dispersion with Grüneisen parameters

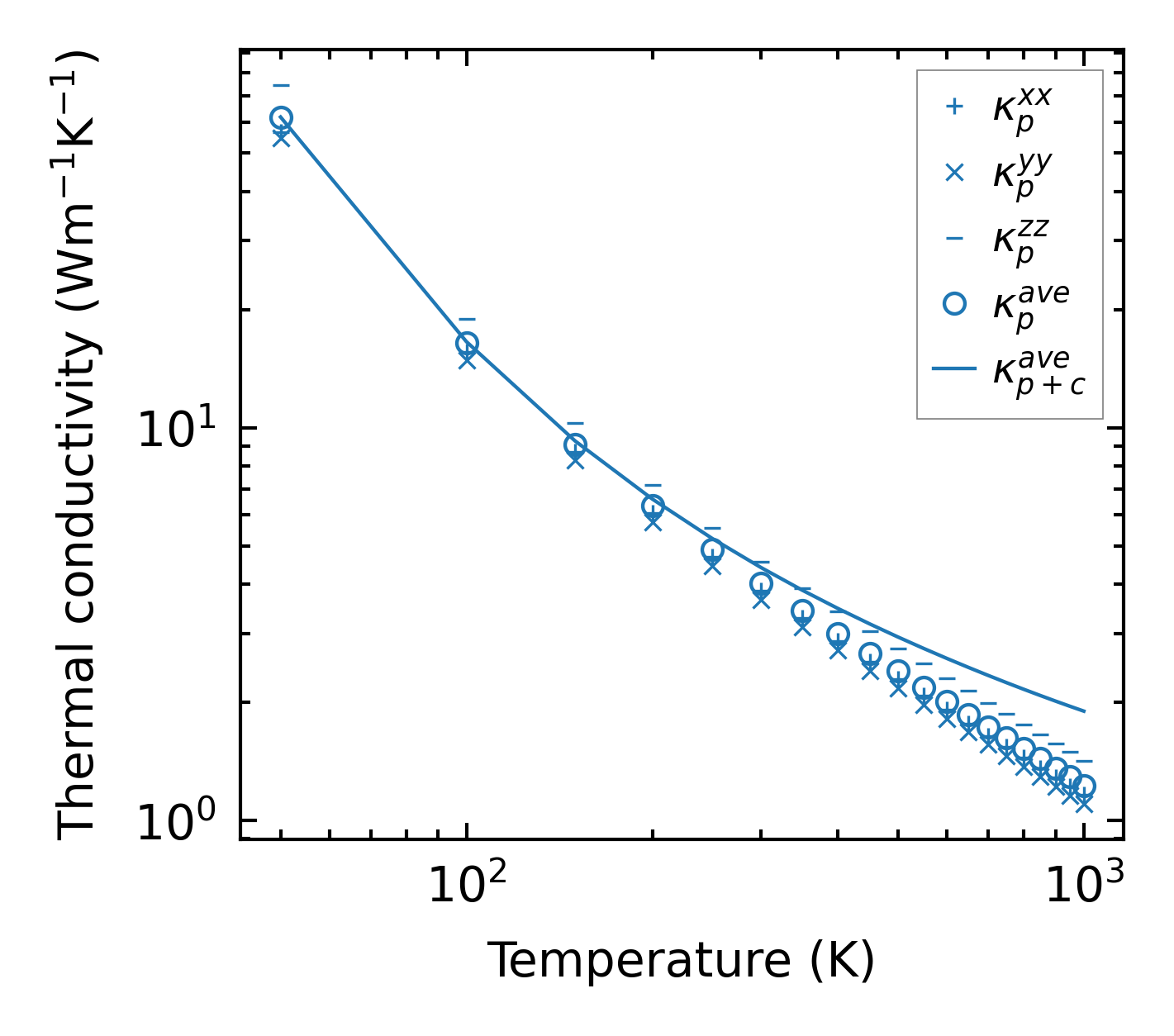
Thermal conductivity

3-phonon (LASSO) — q-mesh: 12x12x8, supercell: 1x2x1

../../_images/fig_kappa12919.png

(a) Temperature-dependent lattice thermal conductivity

../../_images/fig_kappa_vs_grain_size6940.png

(b) Peierls lattice thermal conductivity w.r.t grain size

Phonon lifetime and scattering rates

../../_images/fig_lifetime6794.png

(a) Phonon lifetime due to phonon-phonon scattering

../../_images/fig_scat_rates6793.png

(b) Phonon scattering rates

Cumulative and spectral thermal conductivity

../../_images/fig_cumu_frequency6794.png

(a) Spectral and cumulative thermal conductivity w.r.t frequency

../../_images/fig_cumu_mfp6793.png

(b) Spectral and cumulative thermal conductivity w.r.t MFP

Force constants

../../_images/fig_fc215447.png

(a) Force constants w.r.t atomic distance

Summary

../../_images/fig_kappa12920.png

(a) Temperature-dependent lattice thermal conductivity

../../_images/fig_times26123.png

(b) Computation time