mp-1105808/Er7IrI12/anharm

Harmonic properties

../../_images/fig_bandos_pr16245.png

(a) Phonon dispersion with participation ratio and DOS

../../_images/fig_thermo16244.png

(b) Thermodynamic properties

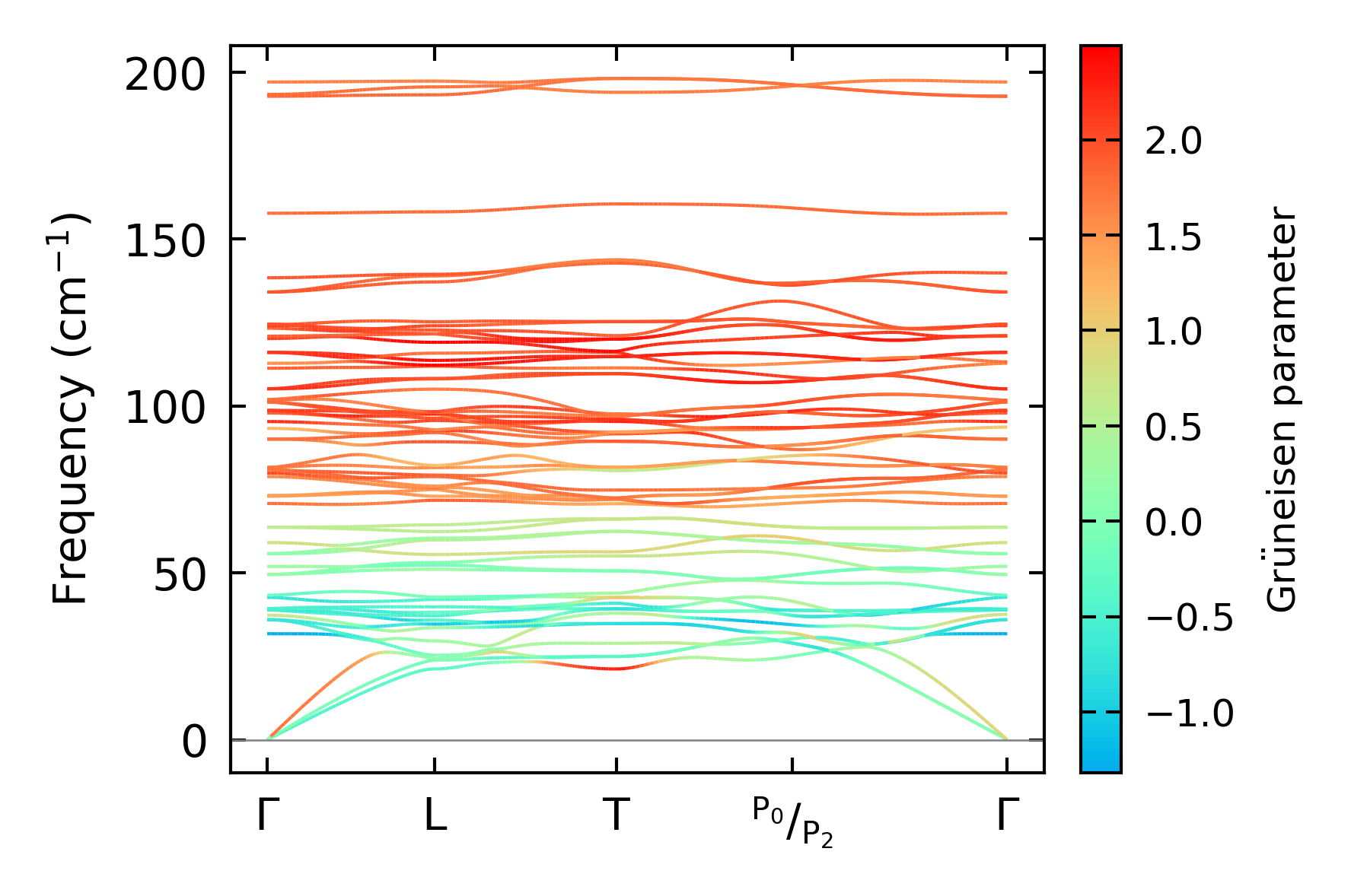
Grüneisen parameters

../../_images/fig_gru_all7067.png

(a) Grüneisen parameters

../../_images/fig_gruneisen7067.png

(b) Phonon dispersion with Grüneisen parameters

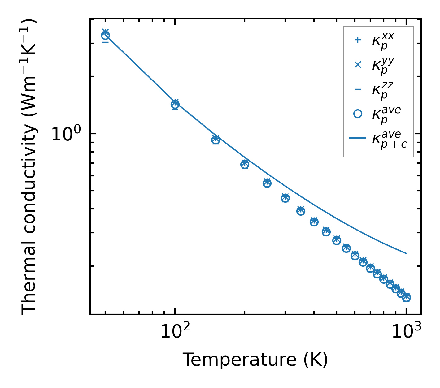
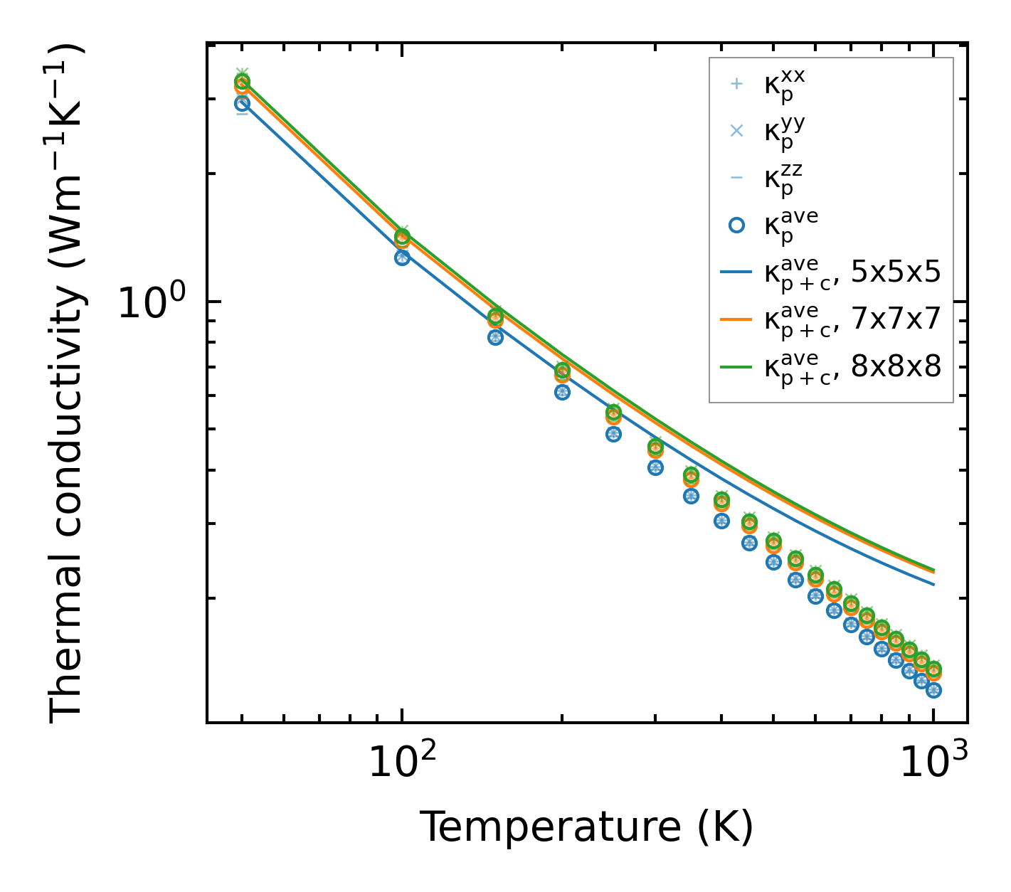
Thermal conductivity

3-phonon (LASSO) — q-mesh: 8x8x8, supercell: 1x1x2

../../_images/fig_kappa13314.png

(a) Temperature-dependent lattice thermal conductivity

../../_images/fig_kappa_vs_grain_size7149.png

(b) Peierls lattice thermal conductivity w.r.t grain size

Phonon lifetime and scattering rates

../../_images/fig_lifetime7001.png

(a) Phonon lifetime due to phonon-phonon scattering

../../_images/fig_scat_rates7000.png

(b) Phonon scattering rates

Cumulative and spectral thermal conductivity

../../_images/fig_cumu_frequency7001.png

(a) Spectral and cumulative thermal conductivity w.r.t frequency

../../_images/fig_cumu_mfp7000.png

(b) Spectral and cumulative thermal conductivity w.r.t MFP

Force constants

../../_images/fig_fc215838.png

(a) Force constants w.r.t atomic distance

Summary

../../_images/fig_kappa13315.png

(a) Temperature-dependent lattice thermal conductivity

../../_images/fig_times26734.png

(b) Computation time