mp-1105248/Sm3Bi4Au3/anharm

Harmonic properties

../../_images/fig_bandos_pr16207.png

(a) Phonon dispersion with participation ratio and DOS

../../_images/fig_thermo16206.png

(b) Thermodynamic properties

Grüneisen parameters

../../_images/fig_gru_all7044.png

(a) Grüneisen parameters

../../_images/fig_gruneisen7044.png

(b) Phonon dispersion with Grüneisen parameters

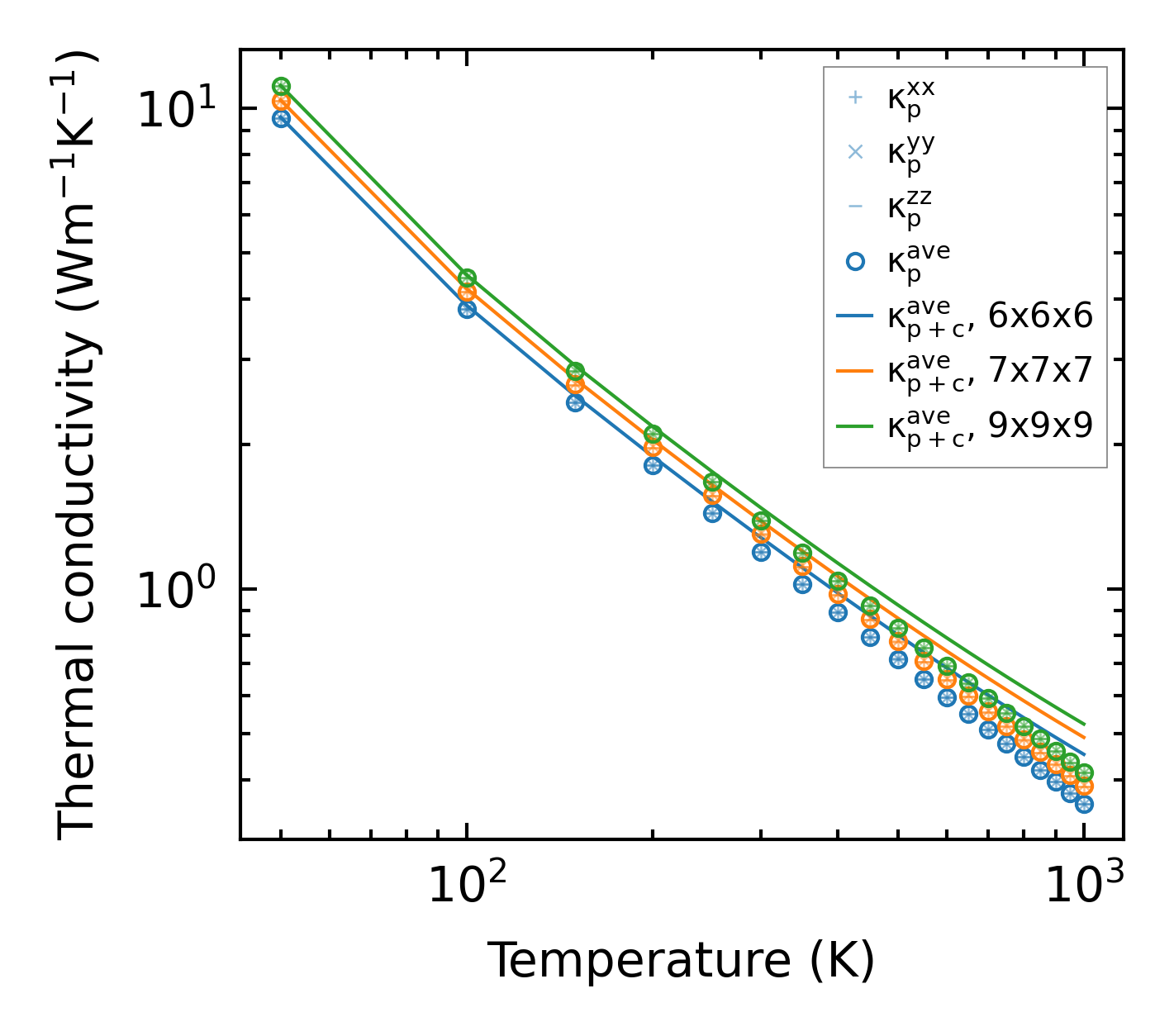
Thermal conductivity

3-phonon (LASSO) — q-mesh: 9x9x9, supercell: 1x1x1

../../_images/fig_kappa13268.png

(a) Temperature-dependent lattice thermal conductivity

../../_images/fig_kappa_vs_grain_size7126.png

(b) Peierls lattice thermal conductivity w.r.t grain size

Phonon lifetime and scattering rates

../../_images/fig_lifetime6978.png

(a) Phonon lifetime due to phonon-phonon scattering

../../_images/fig_scat_rates6977.png

(b) Phonon scattering rates

Cumulative and spectral thermal conductivity

../../_images/fig_cumu_frequency6978.png

(a) Spectral and cumulative thermal conductivity w.r.t frequency

../../_images/fig_cumu_mfp6977.png

(b) Spectral and cumulative thermal conductivity w.r.t MFP

Force constants

../../_images/fig_fc215800.png

(a) Force constants w.r.t atomic distance

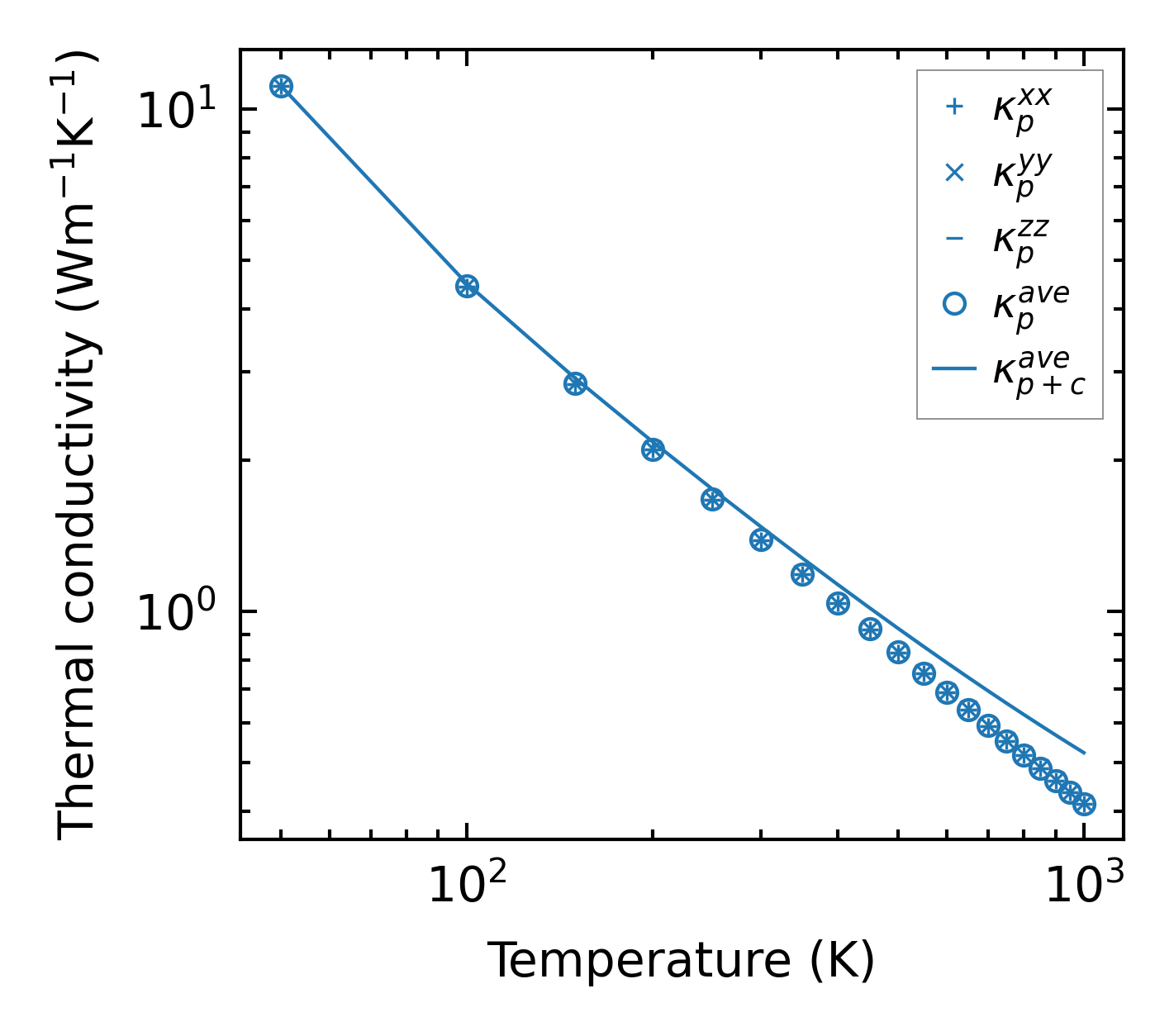
Summary

../../_images/fig_kappa13269.png

(a) Temperature-dependent lattice thermal conductivity

../../_images/fig_times26683.png

(b) Computation time