mp-1105692/Tl2Hg3Se4/anharm

Harmonic properties

../../_images/fig_bandos_pr16234.png

(a) Phonon dispersion with participation ratio and DOS

../../_images/fig_thermo16233.png

(b) Thermodynamic properties

Grüneisen parameters

../../_images/fig_gru_all7059.png

(a) Grüneisen parameters

../../_images/fig_gruneisen7059.png

(b) Phonon dispersion with Grüneisen parameters

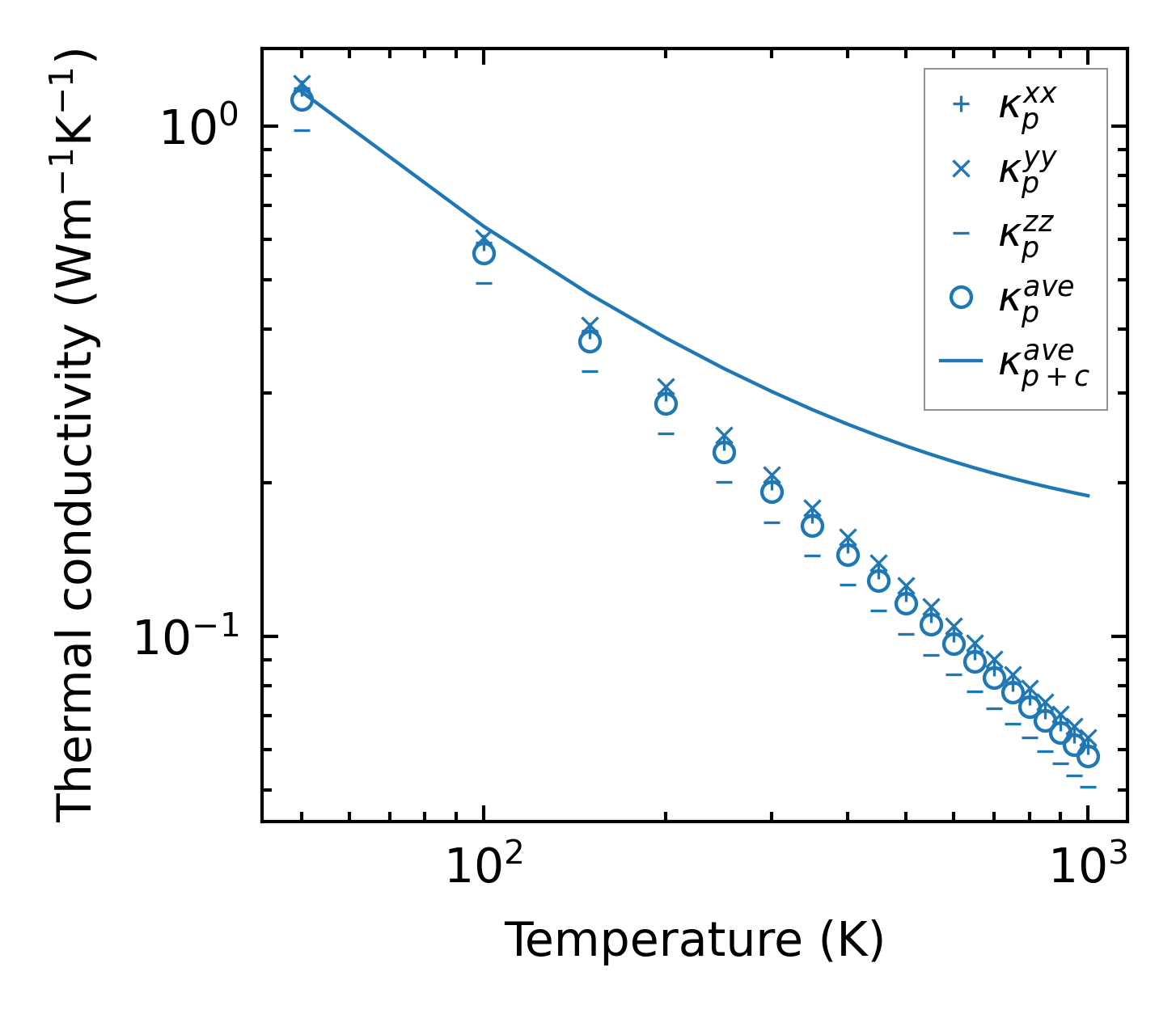
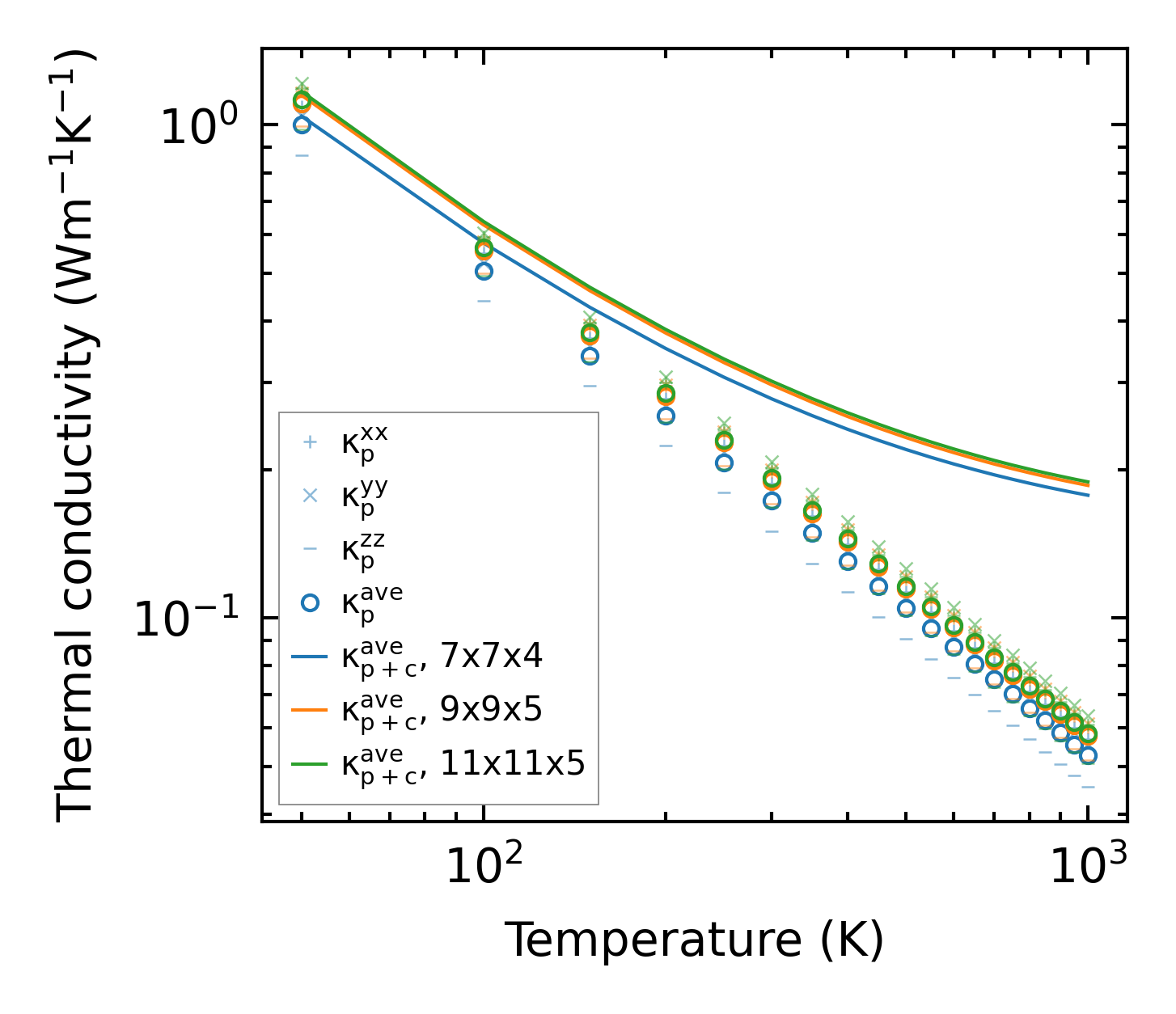
Thermal conductivity

3-phonon (LASSO) — q-mesh: 11x11x5, supercell: 2x2x1

../../_images/fig_kappa13298.png

(a) Temperature-dependent lattice thermal conductivity

../../_images/fig_kappa_vs_grain_size7141.png

(b) Peierls lattice thermal conductivity w.r.t grain size

Phonon lifetime and scattering rates

../../_images/fig_lifetime6993.png

(a) Phonon lifetime due to phonon-phonon scattering

../../_images/fig_scat_rates6992.png

(b) Phonon scattering rates

Cumulative and spectral thermal conductivity

../../_images/fig_cumu_frequency6993.png

(a) Spectral and cumulative thermal conductivity w.r.t frequency

../../_images/fig_cumu_mfp6992.png

(b) Spectral and cumulative thermal conductivity w.r.t MFP

Force constants

../../_images/fig_fc215827.png

(a) Force constants w.r.t atomic distance

Summary

../../_images/fig_kappa13299.png

(a) Temperature-dependent lattice thermal conductivity

../../_images/fig_times26719.png

(b) Computation time