mp-1105212/Rb2AgPS4/anharm

Harmonic properties

../../_images/fig_bandos_pr16640.png

(a) Phonon dispersion with participation ratio and DOS

../../_images/fig_thermo16639.png

(b) Thermodynamic properties

Grüneisen parameters

../../_images/fig_gru_all7228.png

(a) Grüneisen parameters

../../_images/fig_gruneisen7228.png

(b) Phonon dispersion with Grüneisen parameters

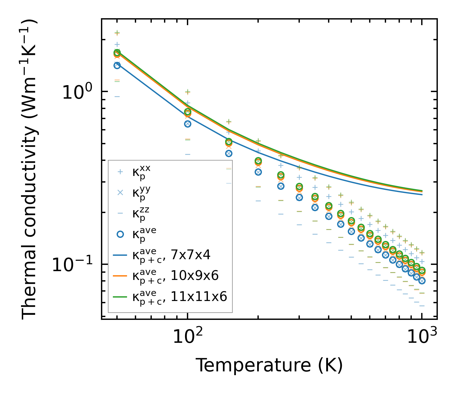
Thermal conductivity

3-phonon (LASSO) — q-mesh: 11x11x6, supercell: 2x2x2

../../_images/fig_kappa13629.png

(a) Temperature-dependent lattice thermal conductivity

../../_images/fig_kappa_vs_grain_size7314.png

(b) Peierls lattice thermal conductivity w.r.t grain size

Phonon lifetime and scattering rates

../../_images/fig_lifetime7162.png

(a) Phonon lifetime due to phonon-phonon scattering

../../_images/fig_scat_rates7161.png

(b) Phonon scattering rates

Cumulative and spectral thermal conductivity

../../_images/fig_cumu_frequency7162.png

(a) Spectral and cumulative thermal conductivity w.r.t frequency

../../_images/fig_cumu_mfp7161.png

(b) Spectral and cumulative thermal conductivity w.r.t MFP

Force constants

../../_images/fig_fc216212.png

(a) Force constants w.r.t atomic distance

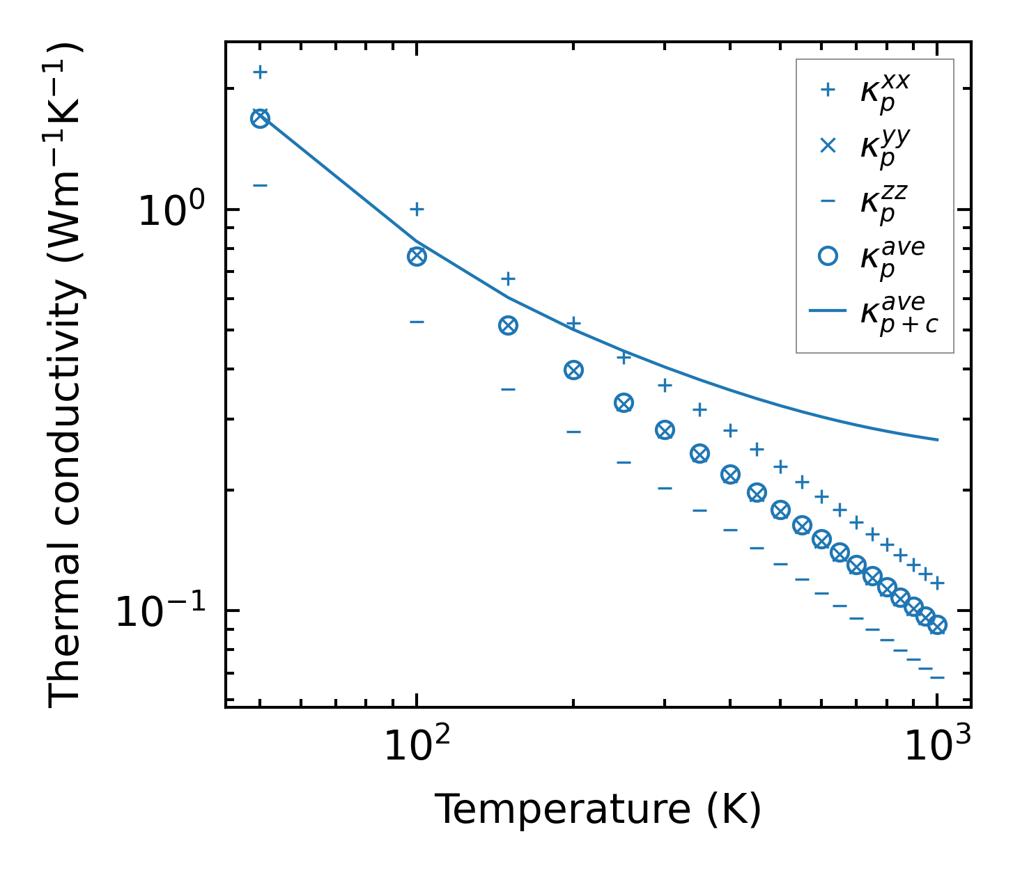
Summary

../../_images/fig_kappa13630.png

(a) Temperature-dependent lattice thermal conductivity

../../_images/fig_times27201.png

(b) Computation time