mp-1105202/Ba2InBiSe5/anharm

Harmonic properties

../../_images/fig_bandos_pr16639.png

(a) Phonon dispersion with participation ratio and DOS

../../_images/fig_thermo16638.png

(b) Thermodynamic properties

Grüneisen parameters

../../_images/fig_gru_all7227.png

(a) Grüneisen parameters

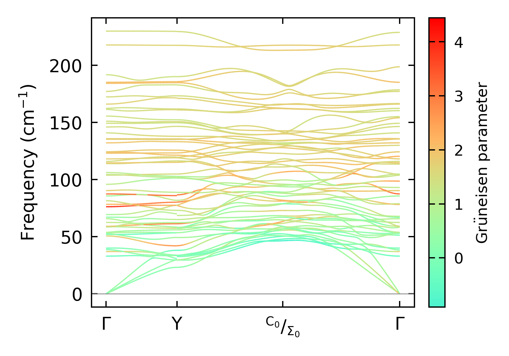
../../_images/fig_gruneisen7227.png

(b) Phonon dispersion with Grüneisen parameters

Thermal conductivity

3-phonon (LASSO) — q-mesh: 9x9x7, supercell: 4x1x1

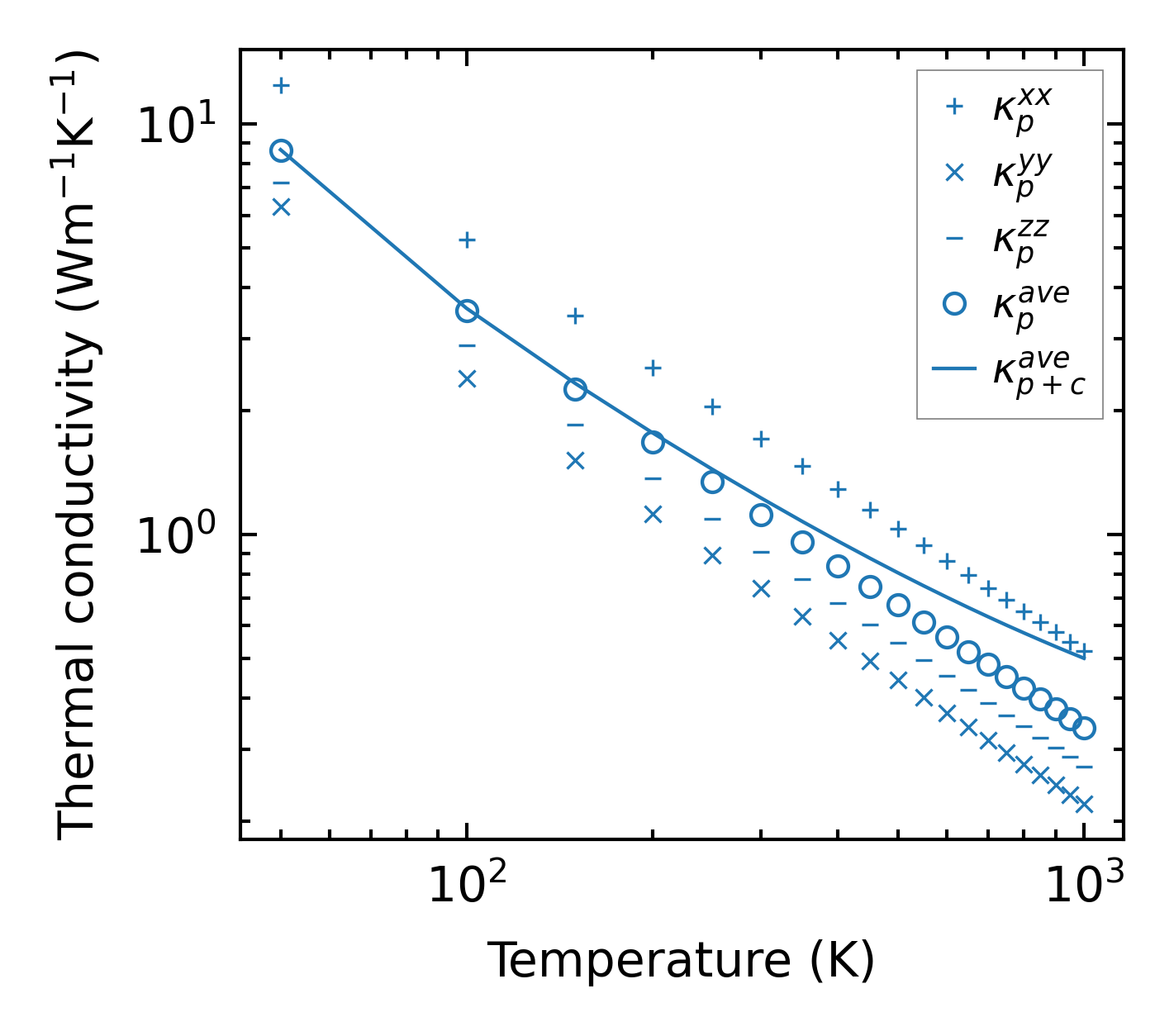
../../_images/fig_kappa13627.png

(a) Temperature-dependent lattice thermal conductivity

../../_images/fig_kappa_vs_grain_size7313.png

(b) Peierls lattice thermal conductivity w.r.t grain size

Phonon lifetime and scattering rates

../../_images/fig_lifetime7161.png

(a) Phonon lifetime due to phonon-phonon scattering

../../_images/fig_scat_rates7160.png

(b) Phonon scattering rates

Cumulative and spectral thermal conductivity

../../_images/fig_cumu_frequency7161.png

(a) Spectral and cumulative thermal conductivity w.r.t frequency

../../_images/fig_cumu_mfp7160.png

(b) Spectral and cumulative thermal conductivity w.r.t MFP

Force constants

../../_images/fig_fc216211.png

(a) Force constants w.r.t atomic distance

Summary

../../_images/fig_kappa13628.png

(a) Temperature-dependent lattice thermal conductivity

../../_images/fig_times27200.png

(b) Computation time