mp-1105535/Ba2P7Br/anharm

Harmonic properties

../../_images/fig_bandos_pr16226.png

(a) Phonon dispersion with participation ratio and DOS

../../_images/fig_thermo16225.png

(b) Thermodynamic properties

Grüneisen parameters

../../_images/fig_gru_all7052.png

(a) Grüneisen parameters

../../_images/fig_gruneisen7052.png

(b) Phonon dispersion with Grüneisen parameters

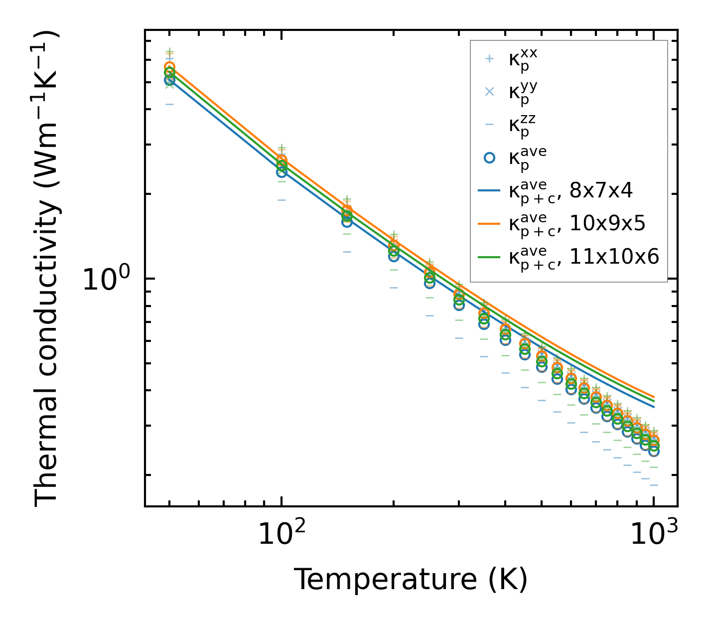
Thermal conductivity

3-phonon (LASSO) — q-mesh: 11x10x6, supercell: 2x2x1

../../_images/fig_kappa13284.png

(a) Temperature-dependent lattice thermal conductivity

../../_images/fig_kappa_vs_grain_size7134.png

(b) Peierls lattice thermal conductivity w.r.t grain size

Phonon lifetime and scattering rates

../../_images/fig_lifetime6986.png

(a) Phonon lifetime due to phonon-phonon scattering

../../_images/fig_scat_rates6985.png

(b) Phonon scattering rates

Cumulative and spectral thermal conductivity

../../_images/fig_cumu_frequency6986.png

(a) Spectral and cumulative thermal conductivity w.r.t frequency

../../_images/fig_cumu_mfp6985.png

(b) Spectral and cumulative thermal conductivity w.r.t MFP

Force constants

../../_images/fig_fc215819.png

(a) Force constants w.r.t atomic distance

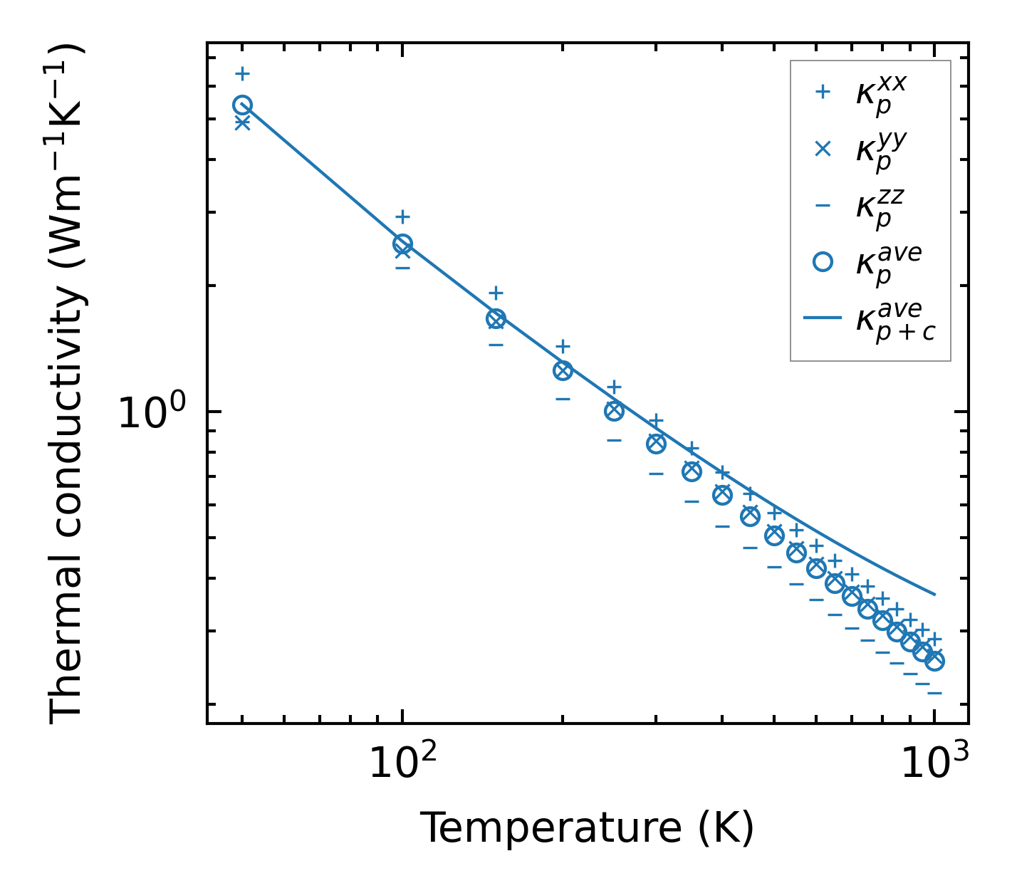
Summary

../../_images/fig_kappa13285.png

(a) Temperature-dependent lattice thermal conductivity

../../_images/fig_times26708.png

(b) Computation time