mp-1105715/TiGeS3/anharm

Harmonic properties

../../_images/fig_bandos_pr16238.png

(a) Phonon dispersion with participation ratio and DOS

../../_images/fig_thermo16237.png

(b) Thermodynamic properties

Grüneisen parameters

../../_images/fig_gru_all7062.png

(a) Grüneisen parameters

../../_images/fig_gruneisen7062.png

(b) Phonon dispersion with Grüneisen parameters

Thermal conductivity

3-phonon (LASSO) — q-mesh: 8x20x5, supercell: 2x3x1

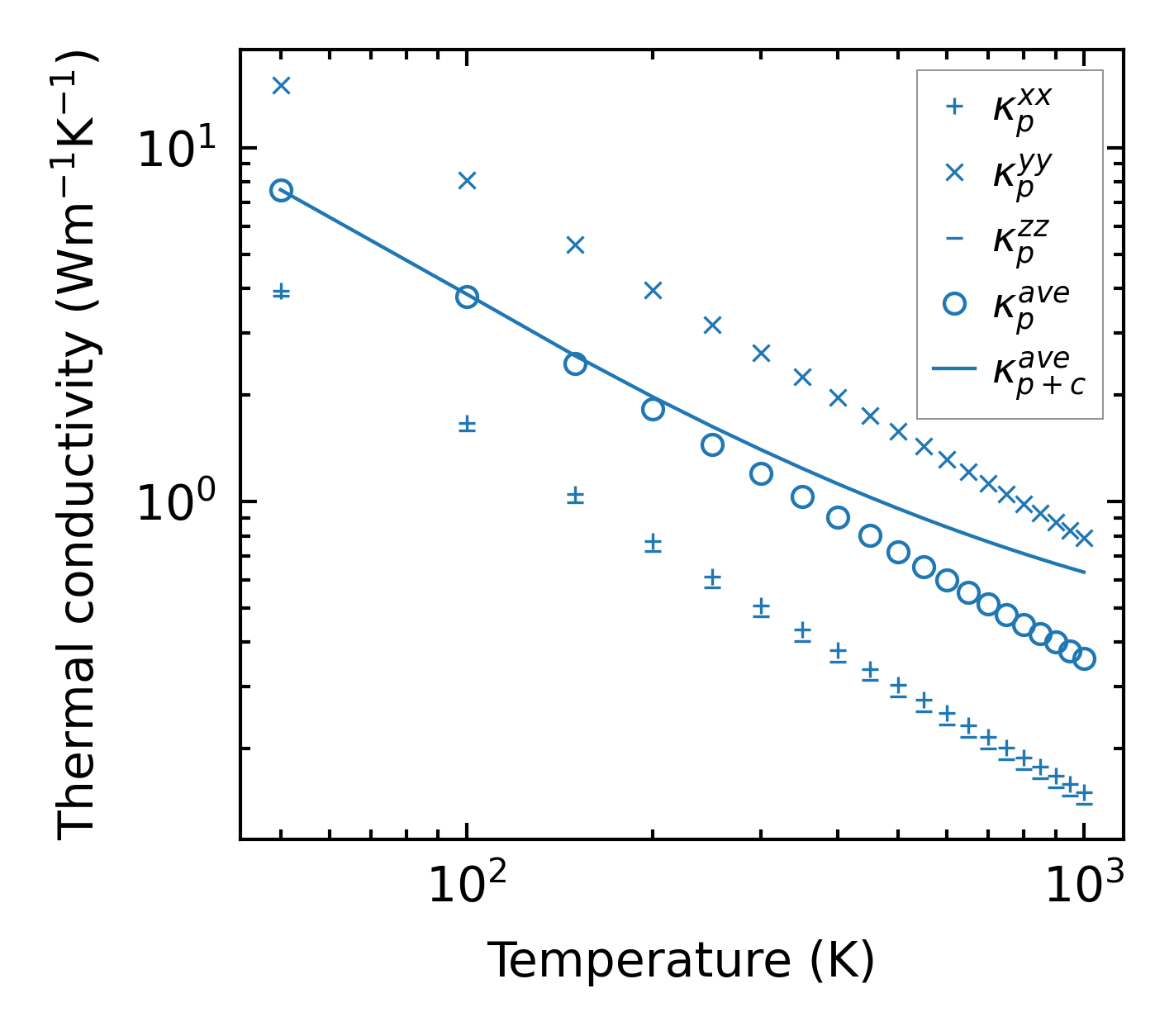
../../_images/fig_kappa13304.png

(a) Temperature-dependent lattice thermal conductivity

../../_images/fig_kappa_vs_grain_size7144.png

(b) Peierls lattice thermal conductivity w.r.t grain size

Phonon lifetime and scattering rates

../../_images/fig_lifetime6996.png

(a) Phonon lifetime due to phonon-phonon scattering

../../_images/fig_scat_rates6995.png

(b) Phonon scattering rates

Cumulative and spectral thermal conductivity

../../_images/fig_cumu_frequency6996.png

(a) Spectral and cumulative thermal conductivity w.r.t frequency

../../_images/fig_cumu_mfp6995.png

(b) Spectral and cumulative thermal conductivity w.r.t MFP

Force constants

../../_images/fig_fc215831.png

(a) Force constants w.r.t atomic distance

Summary

../../_images/fig_kappa13305.png

(a) Temperature-dependent lattice thermal conductivity

../../_images/fig_times26726.png

(b) Computation time