mp-865965/Li2CaSi/anharm

Harmonic properties

../../_images/fig_bandos_pr1581.png

(a) Phonon dispersion with participation ratio and DOS

../../_images/fig_thermo1581.png

(b) Thermodynamic properties

Grüneisen parameters

../../_images/fig_gru_all940.png

(a) Grüneisen parameters

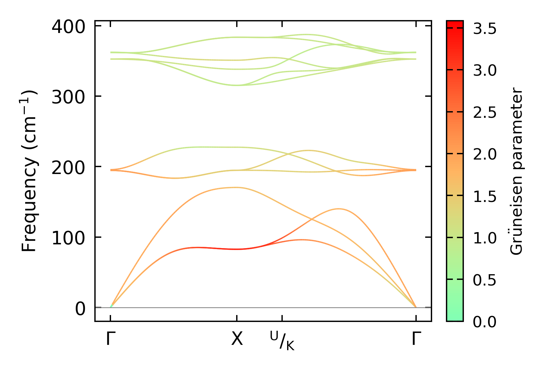
../../_images/fig_gruneisen940.png

(b) Phonon dispersion with Grüneisen parameters

Thermal conductivity

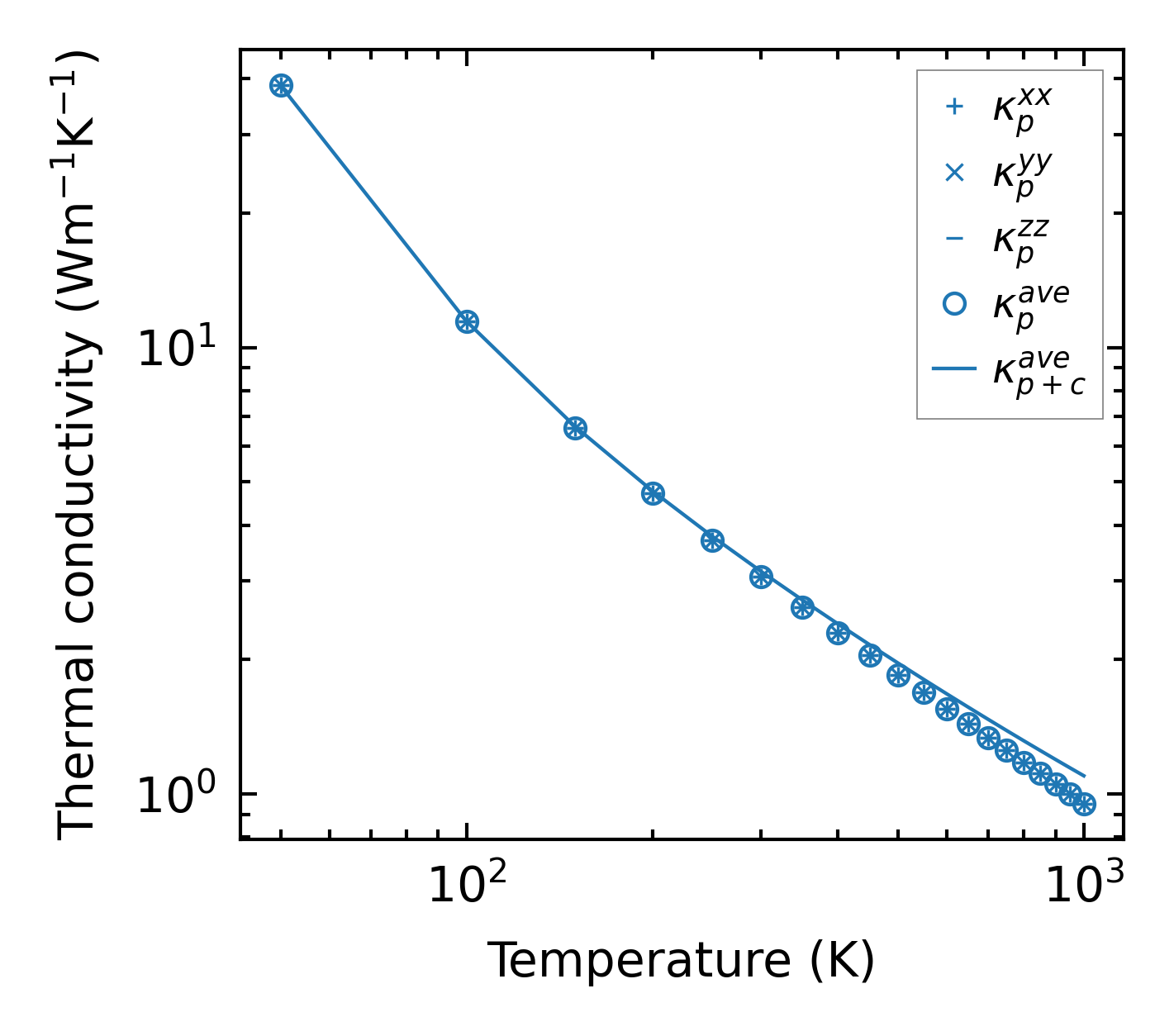
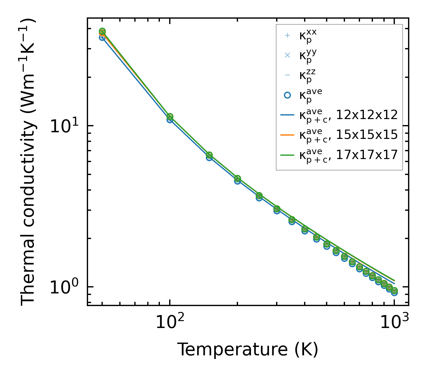
3-phonon — q-mesh: 17x17x17, supercell: 2x2x2

../../_images/fig_kappa1824.png

(a) Temperature-dependent lattice thermal conductivity

../../_images/fig_kappa_vs_grain_size950.png

(b) Peierls lattice thermal conductivity w.r.t grain size

Phonon lifetime and scattering rates

../../_images/fig_lifetime933.png

(a) Phonon lifetime due to phonon-phonon scattering

../../_images/fig_scat_rates932.png

(b) Phonon scattering rates

Cumulative and spectral thermal conductivity

../../_images/fig_cumu_frequency933.png

(a) Spectral and cumulative thermal conductivity w.r.t frequency

../../_images/fig_cumu_mfp933.png

(b) Spectral and cumulative thermal conductivity w.r.t MFP

Force constants

../../_images/fig_fc3161.png

(a) Force constants w.r.t atomic distance

Summary

../../_images/fig_kappa1825.png

(a) Temperature-dependent lattice thermal conductivity

../../_images/fig_times2372.png

(b) Computation time