mp-865047/Mg2AlB2Ir5/anharm

Harmonic properties

../../_images/fig_bandos_pr1557.png

(a) Phonon dispersion with participation ratio and DOS

../../_images/fig_thermo1557.png

(b) Thermodynamic properties

Grüneisen parameters

../../_images/fig_gru_all931.png

(a) Grüneisen parameters

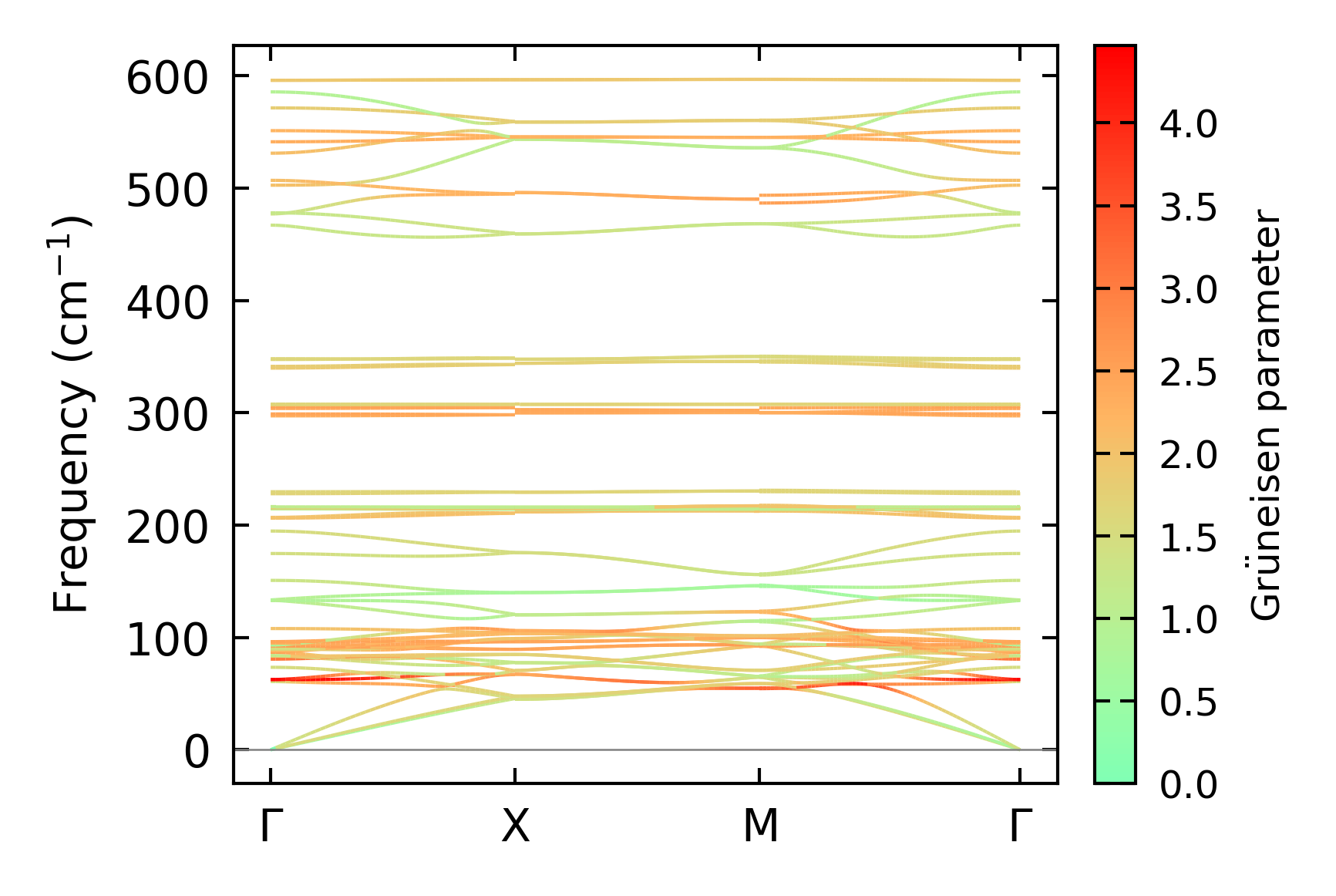
../../_images/fig_gruneisen931.png

(b) Phonon dispersion with Grüneisen parameters

Thermal conductivity

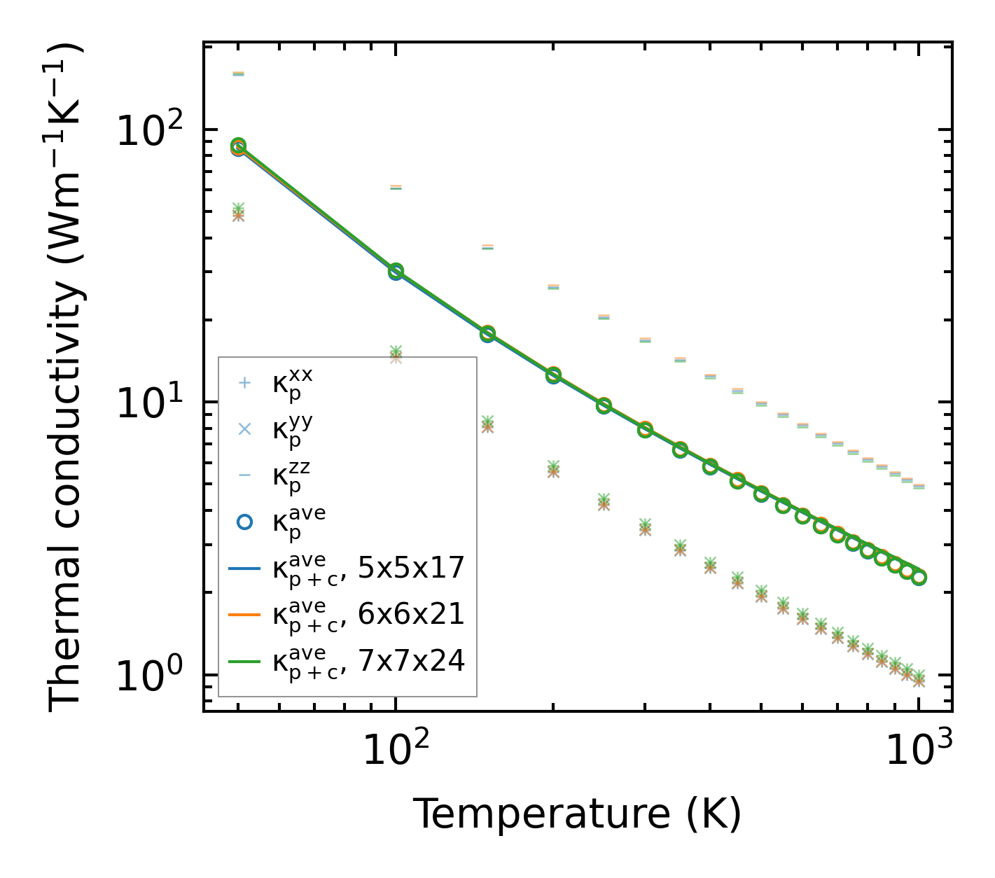
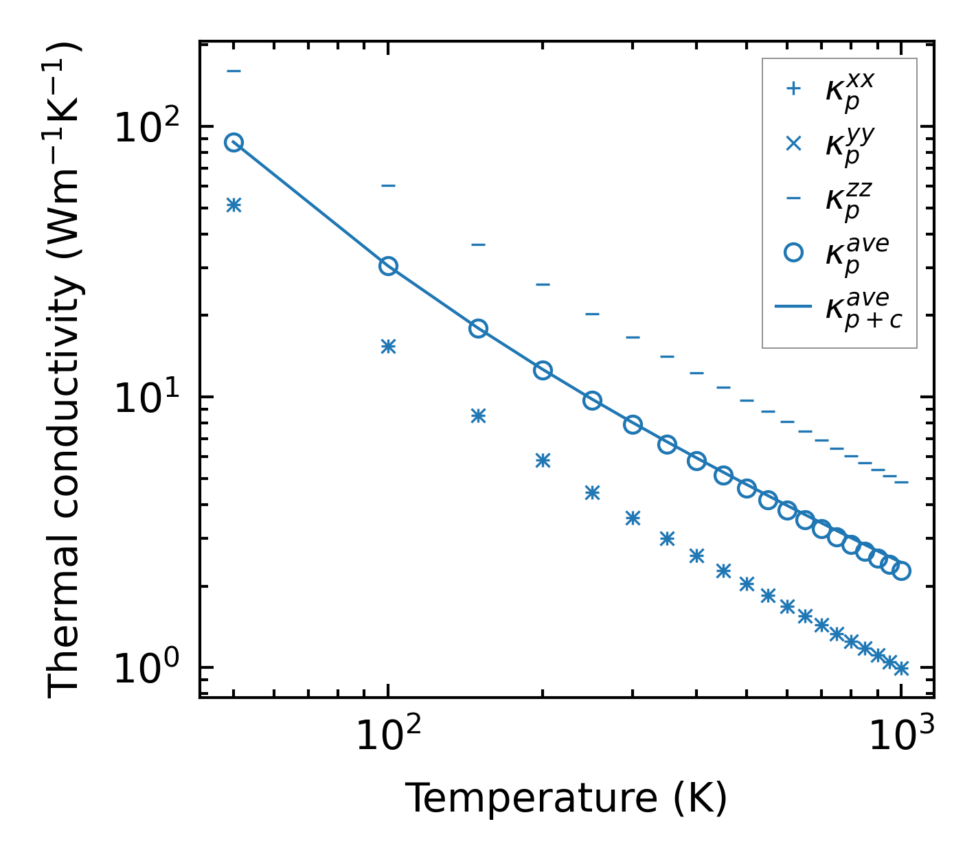
3-phonon (LASSO) — q-mesh: 7x7x24, supercell: 1x1x4

../../_images/fig_kappa1807.png

(a) Temperature-dependent lattice thermal conductivity

../../_images/fig_kappa_vs_grain_size941.png

(b) Peierls lattice thermal conductivity w.r.t grain size

Phonon lifetime and scattering rates

../../_images/fig_lifetime924.png

(a) Phonon lifetime due to phonon-phonon scattering

../../_images/fig_scat_rates923.png

(b) Phonon scattering rates

Cumulative and spectral thermal conductivity

../../_images/fig_cumu_frequency924.png

(a) Spectral and cumulative thermal conductivity w.r.t frequency

../../_images/fig_cumu_mfp924.png

(b) Spectral and cumulative thermal conductivity w.r.t MFP

Force constants

../../_images/fig_fc21401.png

(a) Force constants w.r.t atomic distance

Summary

../../_images/fig_kappa1808.png

(a) Temperature-dependent lattice thermal conductivity

../../_images/fig_times2329.png

(b) Computation time