mp-865101/NaLi2Bi/anharm

Harmonic properties

../../_images/fig_bandos_pr1559.png

(a) Phonon dispersion with participation ratio and DOS

../../_images/fig_thermo1559.png

(b) Thermodynamic properties

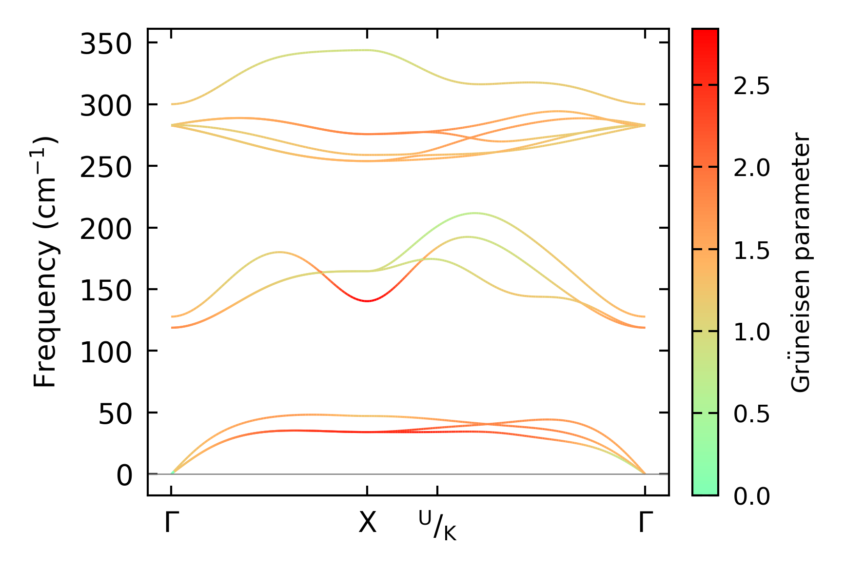
Grüneisen parameters

../../_images/fig_gru_all932.png

(a) Grüneisen parameters

../../_images/fig_gruneisen932.png

(b) Phonon dispersion with Grüneisen parameters

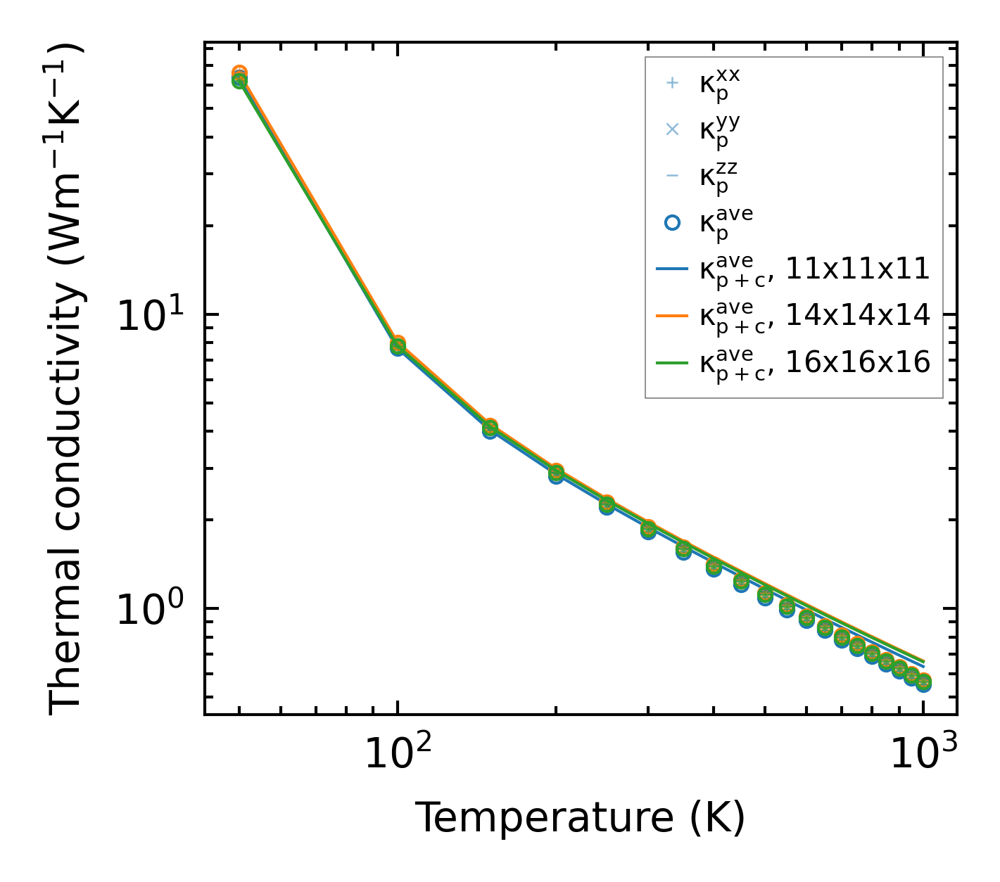
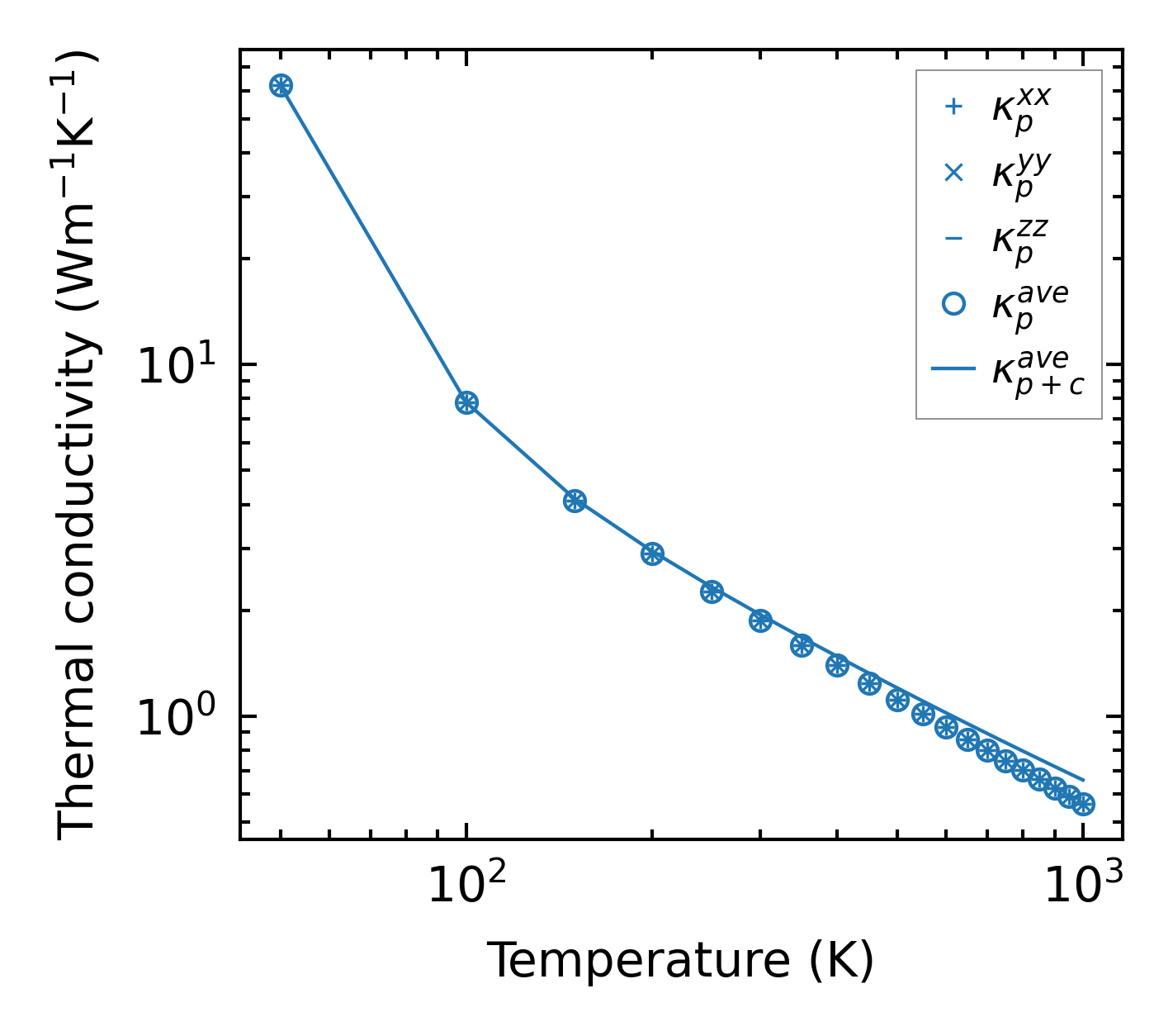
Thermal conductivity

3-phonon — q-mesh: 16x16x16, supercell: 2x2x2

../../_images/fig_kappa1809.png

(a) Temperature-dependent lattice thermal conductivity

../../_images/fig_kappa_vs_grain_size942.png

(b) Peierls lattice thermal conductivity w.r.t grain size

Phonon lifetime and scattering rates

../../_images/fig_lifetime925.png

(a) Phonon lifetime due to phonon-phonon scattering

../../_images/fig_scat_rates924.png

(b) Phonon scattering rates

Cumulative and spectral thermal conductivity

../../_images/fig_cumu_frequency925.png

(a) Spectral and cumulative thermal conductivity w.r.t frequency

../../_images/fig_cumu_mfp925.png

(b) Spectral and cumulative thermal conductivity w.r.t MFP

Force constants

../../_images/fig_fc3156.png

(a) Force constants w.r.t atomic distance

Summary

../../_images/fig_kappa1810.png

(a) Temperature-dependent lattice thermal conductivity

../../_images/fig_times2333.png

(b) Computation time