mp-865188/MgH8Cl2O12/harm

Harmonic properties

../../_images/fig_bandos_pr1561.png

(a) Phonon dispersion with participation ratio and DOS

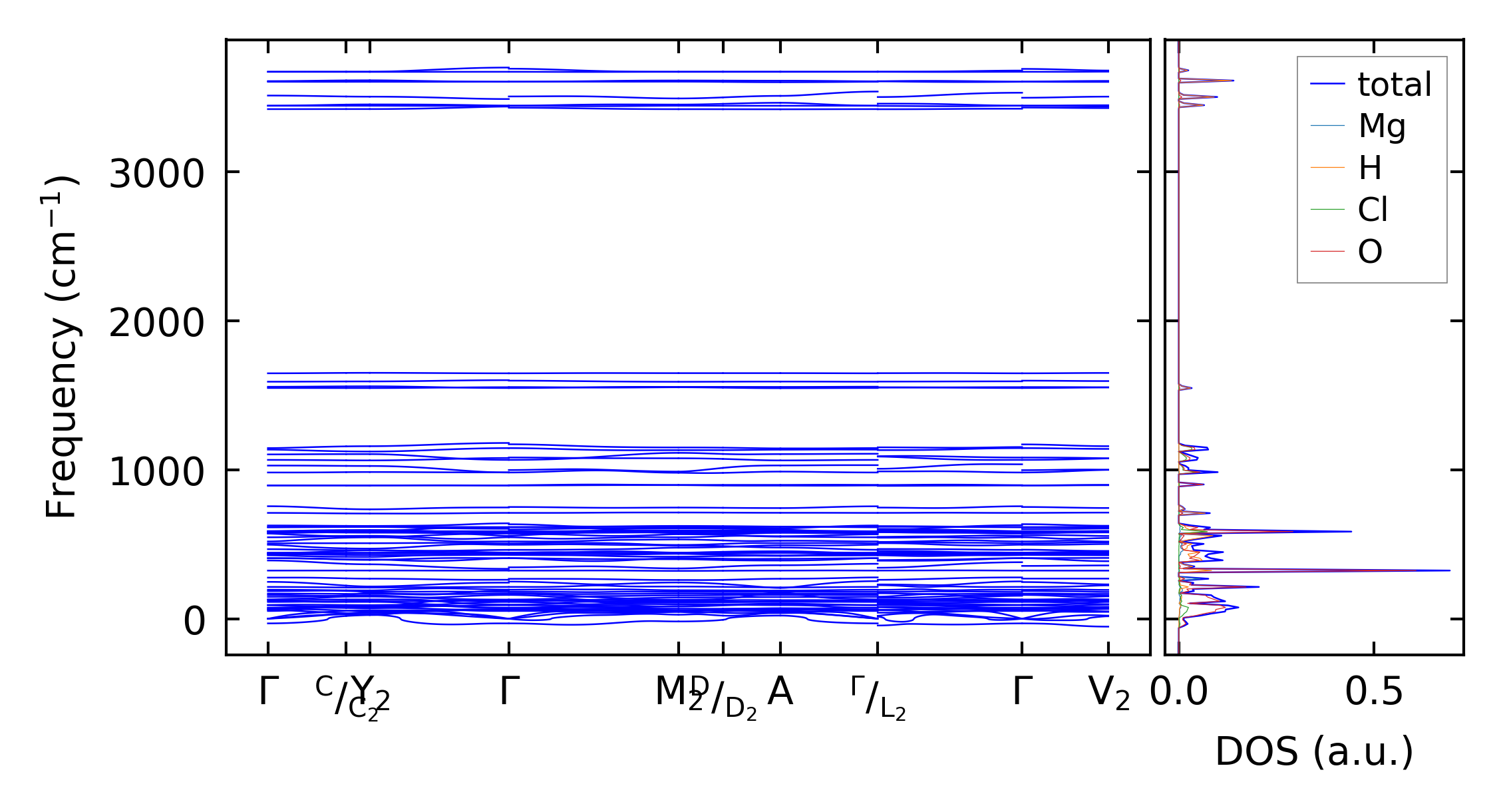
../../_images/fig_bandos1480.png

(b) Phonon dispersion and DOS

../../_images/fig_thermo1561.png

(c) Thermodynamic properties

Force constants

../../_images/fig_fc21404.png

(a) Force constants w.r.t atomic distance

Summary

../../_images/fig_times2337.png

(a) Computation time