mp-865028/AcTlTe2/anharm

Equation of state

../../_images/fig_bm573.png

(a) Equation of state

Harmonic properties

../../_images/fig_bandos_pr1556.png

(a) Phonon dispersion with participation ratio and DOS

../../_images/fig_bandos1473.png

(b) Phonon dispersion and DOS

../../_images/fig_thermo1556.png

(c) Thermodynamic properties

Grüneisen parameters

../../_images/fig_gru_all930.png

(a) Grüneisen parameters

../../_images/fig_gruneisen930.png

(b) Phonon dispersion with Grüneisen parameters

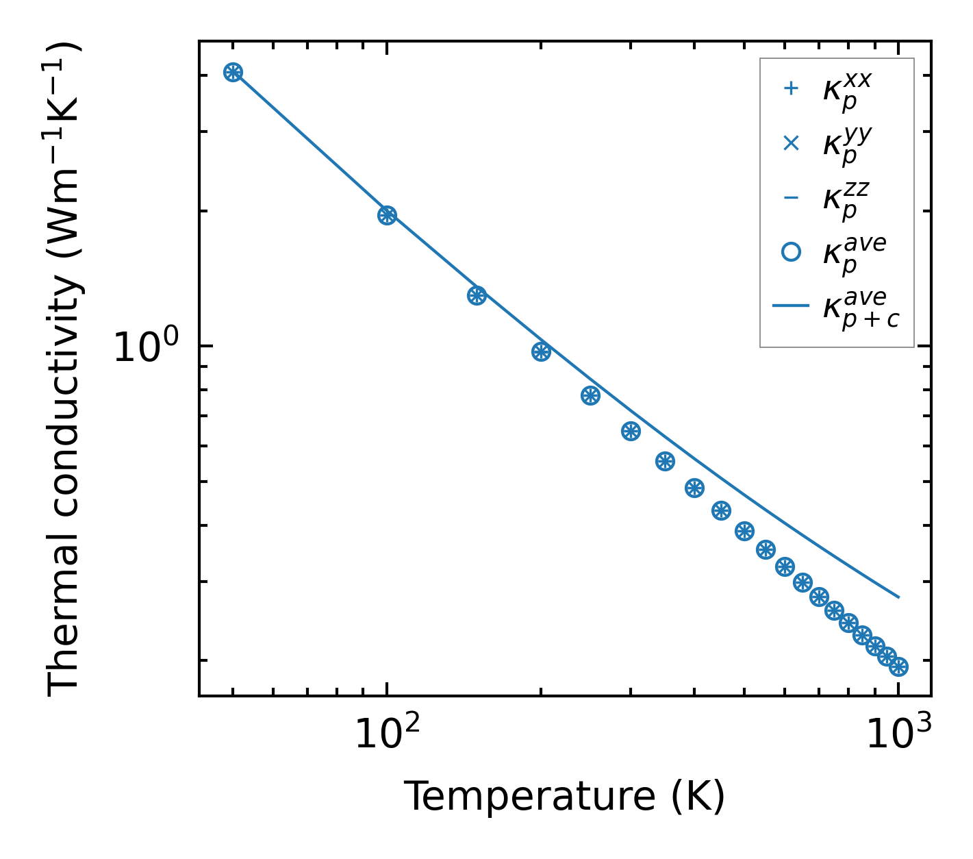
Thermal conductivity

3-phonon, supercell 3x3x3 — q-mesh: 14x14x14, supercell: 3x3x3

../../_images/fig_kappa1806.png

(a) Temperature-dependent lattice thermal conductivity

../../_images/fig_kappa_vs_grain_size940.png

(b) Peierls lattice thermal conductivity w.r.t grain size

Phonon lifetime and scattering rates

../../_images/fig_lifetime923.png

(a) Phonon lifetime due to phonon-phonon scattering

../../_images/fig_scat_rates922.png

(b) Phonon scattering rates

Cumulative and spectral thermal conductivity

../../_images/fig_cumu_frequency923.png

(a) Spectral and cumulative thermal conductivity w.r.t frequency

../../_images/fig_cumu_mfp923.png

(b) Spectral and cumulative thermal conductivity w.r.t MFP

Force constants

../../_images/fig_fc3155.png

(a) Force constants w.r.t atomic distance

Summary

../../_images/fig_times2327.png

(a) Computation time