mp-865799/Yb2AsAu/anharm

Equation of state

../../_images/fig_bm582.png

(a) Equation of state

Harmonic properties

../../_images/fig_bandos_pr1578.png

(a) Phonon dispersion with participation ratio and DOS

../../_images/fig_bandos1506.png

(b) Phonon dispersion and DOS

../../_images/fig_thermo1578.png

(c) Thermodynamic properties

Grüneisen parameters

../../_images/fig_gru_all938.png

(a) Grüneisen parameters

../../_images/fig_gruneisen938.png

(b) Phonon dispersion with Grüneisen parameters

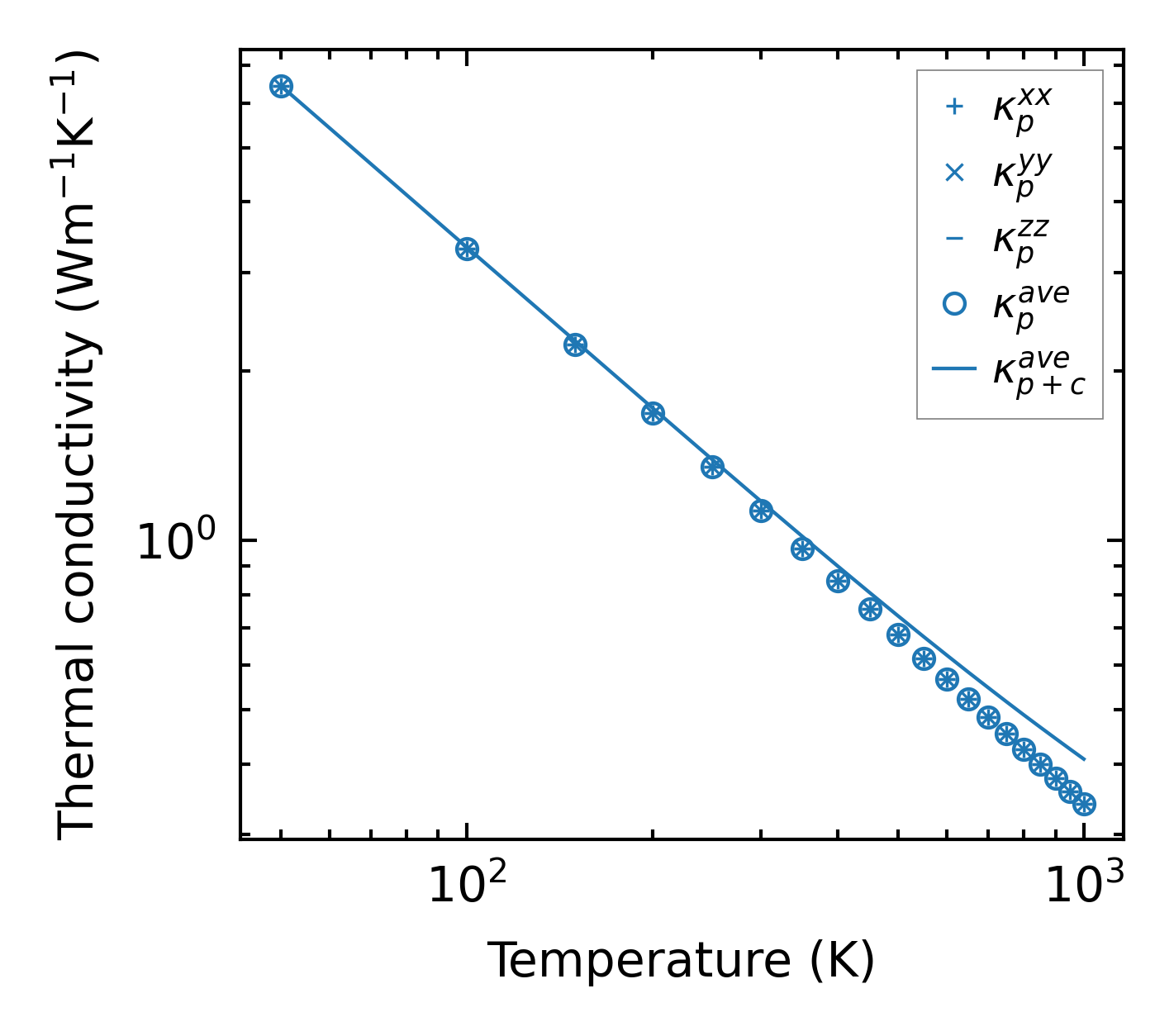
Thermal conductivity

3-phonon, supercell 3x3x3 — q-mesh: 16x16x16, supercell: 3x3x3

../../_images/fig_kappa1821.png

(a) Temperature-dependent lattice thermal conductivity

../../_images/fig_kappa_vs_grain_size948.png

(b) Peierls lattice thermal conductivity w.r.t grain size

Phonon lifetime and scattering rates

../../_images/fig_lifetime931.png

(a) Phonon lifetime due to phonon-phonon scattering

../../_images/fig_scat_rates930.png

(b) Phonon scattering rates

Cumulative and spectral thermal conductivity

../../_images/fig_cumu_frequency931.png

(a) Spectral and cumulative thermal conductivity w.r.t frequency

../../_images/fig_cumu_mfp931.png

(b) Spectral and cumulative thermal conductivity w.r.t MFP

Force constants

../../_images/fig_fc3160.png

(a) Force constants w.r.t atomic distance

Summary

../../_images/fig_times2367.png

(a) Computation time