mp-865280/NbAlFe2/anharm

Harmonic properties

../../_images/fig_bandos_pr1566.png

(a) Phonon dispersion with participation ratio and DOS

../../_images/fig_thermo1566.png

(b) Thermodynamic properties

Grüneisen parameters

../../_images/fig_gru_all934.png

(a) Grüneisen parameters

../../_images/fig_gruneisen934.png

(b) Phonon dispersion with Grüneisen parameters

Thermal conductivity

3-phonon — q-mesh: 19x19x19, supercell: 2x2x2

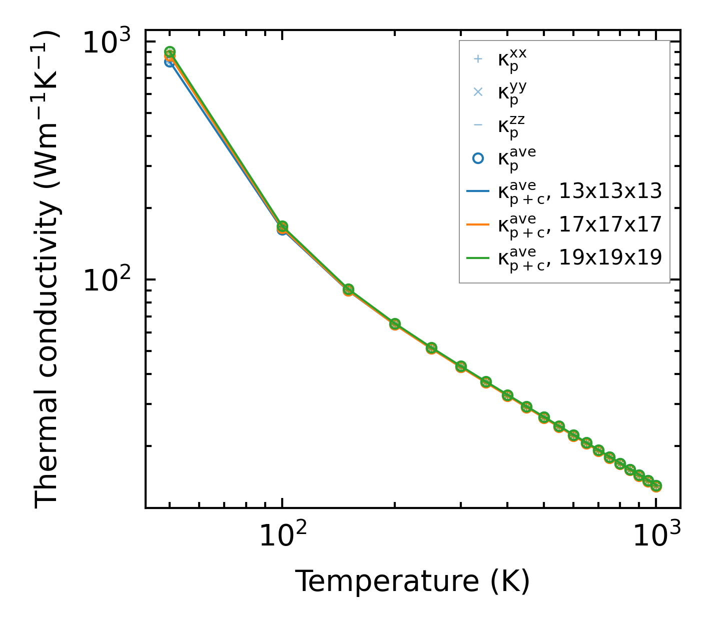
../../_images/fig_kappa1813.png

(a) Temperature-dependent lattice thermal conductivity

../../_images/fig_kappa_vs_grain_size944.png

(b) Peierls lattice thermal conductivity w.r.t grain size

Phonon lifetime and scattering rates

../../_images/fig_lifetime927.png

(a) Phonon lifetime due to phonon-phonon scattering

../../_images/fig_scat_rates926.png

(b) Phonon scattering rates

Cumulative and spectral thermal conductivity

../../_images/fig_cumu_frequency927.png

(a) Spectral and cumulative thermal conductivity w.r.t frequency

../../_images/fig_cumu_mfp927.png

(b) Spectral and cumulative thermal conductivity w.r.t MFP

Force constants

../../_images/fig_fc3157.png

(a) Force constants w.r.t atomic distance

Summary

../../_images/fig_kappa1814.png

(a) Temperature-dependent lattice thermal conductivity

../../_images/fig_times2347.png

(b) Computation time