mp-861979/Ir2S3/anharm

Harmonic properties

../../_images/fig_bandos_pr1776.png

(a) Phonon dispersion with participation ratio and DOS

../../_images/fig_thermo1776.png

(b) Thermodynamic properties

Grüneisen parameters

../../_images/fig_gru_all1010.png

(a) Grüneisen parameters

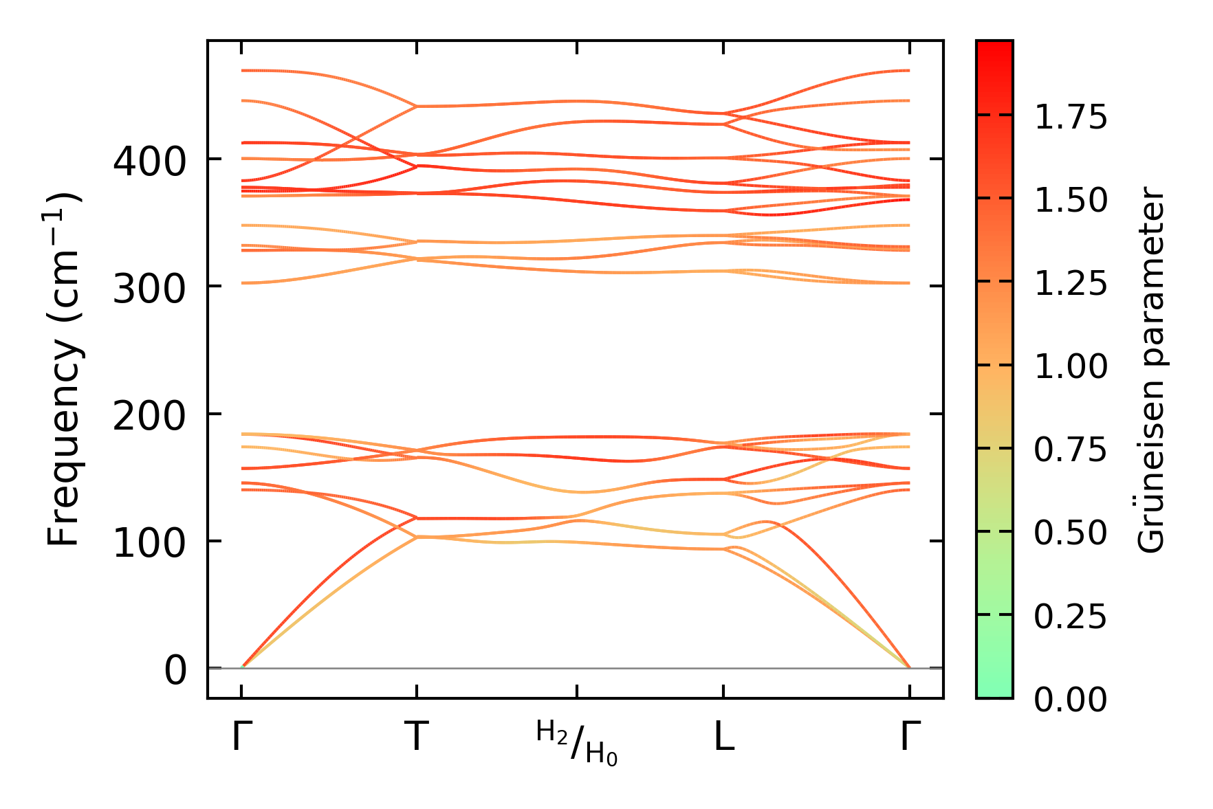
../../_images/fig_gruneisen1010.png

(b) Phonon dispersion with Grüneisen parameters

Thermal conductivity

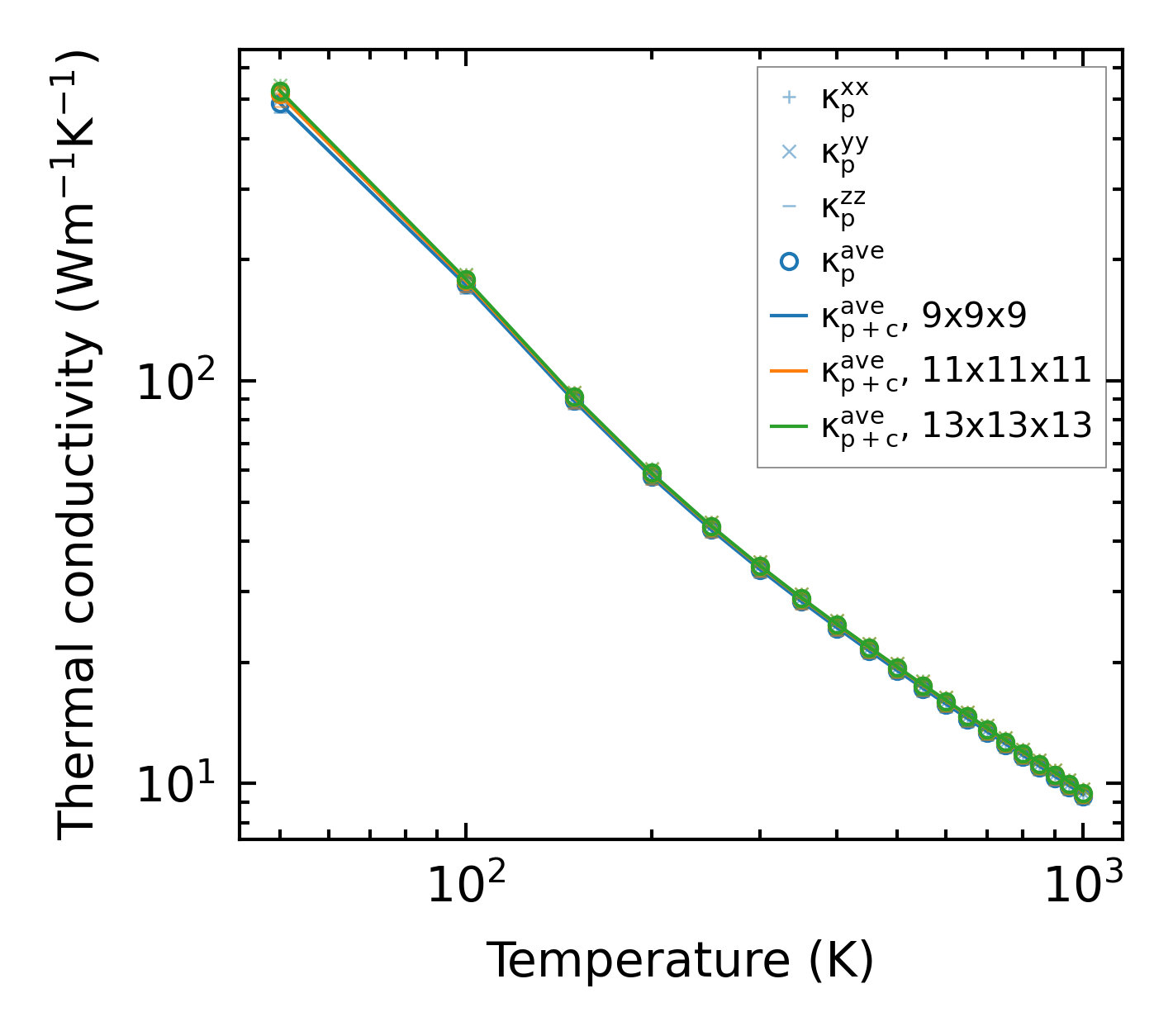
3-phonon (LASSO) — q-mesh: 13x13x13, supercell: 2x2x1

../../_images/fig_kappa1957.png

(a) Temperature-dependent lattice thermal conductivity

../../_images/fig_kappa_vs_grain_size1021.png

(b) Peierls lattice thermal conductivity w.r.t grain size

Phonon lifetime and scattering rates

../../_images/fig_lifetime1002.png

(a) Phonon lifetime due to phonon-phonon scattering

../../_images/fig_scat_rates1001.png

(b) Phonon scattering rates

Cumulative and spectral thermal conductivity

../../_images/fig_cumu_frequency1002.png

(a) Spectral and cumulative thermal conductivity w.r.t frequency

../../_images/fig_cumu_mfp1002.png

(b) Spectral and cumulative thermal conductivity w.r.t MFP

Force constants

../../_images/fig_fc21606.png

(a) Force constants w.r.t atomic distance

Summary

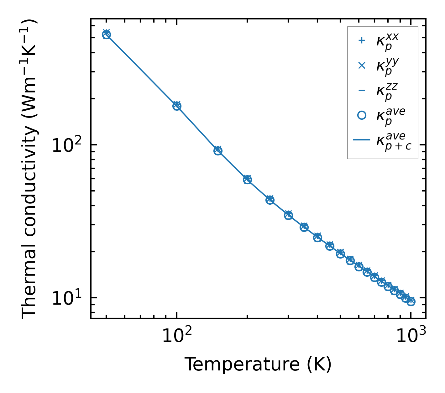
../../_images/fig_kappa1958.png

(a) Temperature-dependent lattice thermal conductivity

../../_images/fig_times2719.png

(b) Computation time