mp-861957/KNaSmTaO5/anharm

Harmonic properties

../../_images/fig_bandos_pr1775.png

(a) Phonon dispersion with participation ratio and DOS

../../_images/fig_thermo1775.png

(b) Thermodynamic properties

Grüneisen parameters

../../_images/fig_gru_all1009.png

(a) Grüneisen parameters

../../_images/fig_gruneisen1009.png

(b) Phonon dispersion with Grüneisen parameters

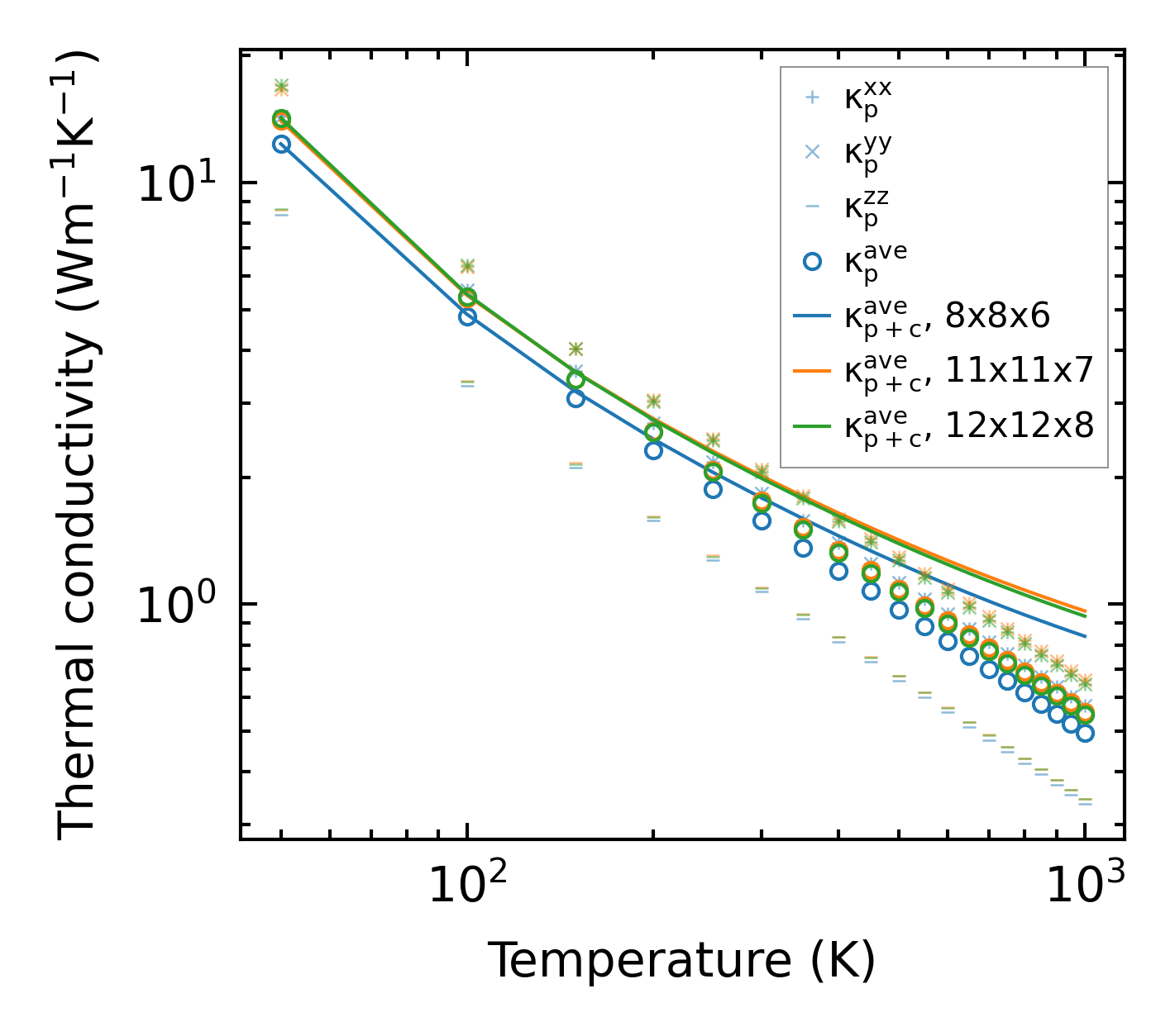
Thermal conductivity

3-phonon (LASSO) — q-mesh: 12x12x8, supercell: 2x2x2

../../_images/fig_kappa1955.png

(a) Temperature-dependent lattice thermal conductivity

../../_images/fig_kappa_vs_grain_size1020.png

(b) Peierls lattice thermal conductivity w.r.t grain size

Phonon lifetime and scattering rates

../../_images/fig_lifetime1001.png

(a) Phonon lifetime due to phonon-phonon scattering

../../_images/fig_scat_rates1000.png

(b) Phonon scattering rates

Cumulative and spectral thermal conductivity

../../_images/fig_cumu_frequency1001.png

(a) Spectral and cumulative thermal conductivity w.r.t frequency

../../_images/fig_cumu_mfp1001.png

(b) Spectral and cumulative thermal conductivity w.r.t MFP

Force constants

../../_images/fig_fc21605.png

(a) Force constants w.r.t atomic distance

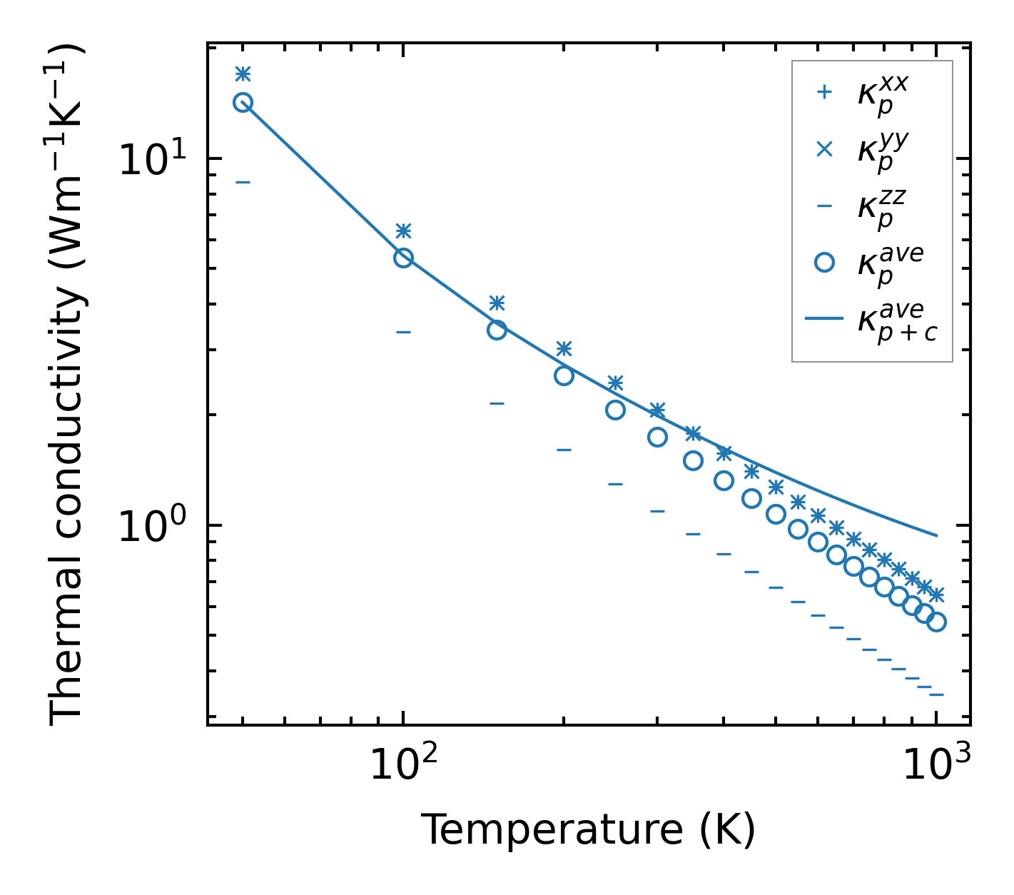
Summary

../../_images/fig_kappa1956.png

(a) Temperature-dependent lattice thermal conductivity

../../_images/fig_times2718.png

(b) Computation time