mp-861504/PrBO3/anharm

Harmonic properties

../../_images/fig_bandos_pr1759.png

(a) Phonon dispersion with participation ratio and DOS

../../_images/fig_thermo1759.png

(b) Thermodynamic properties

Grüneisen parameters

../../_images/fig_gru_all1001.png

(a) Grüneisen parameters

../../_images/fig_gruneisen1001.png

(b) Phonon dispersion with Grüneisen parameters

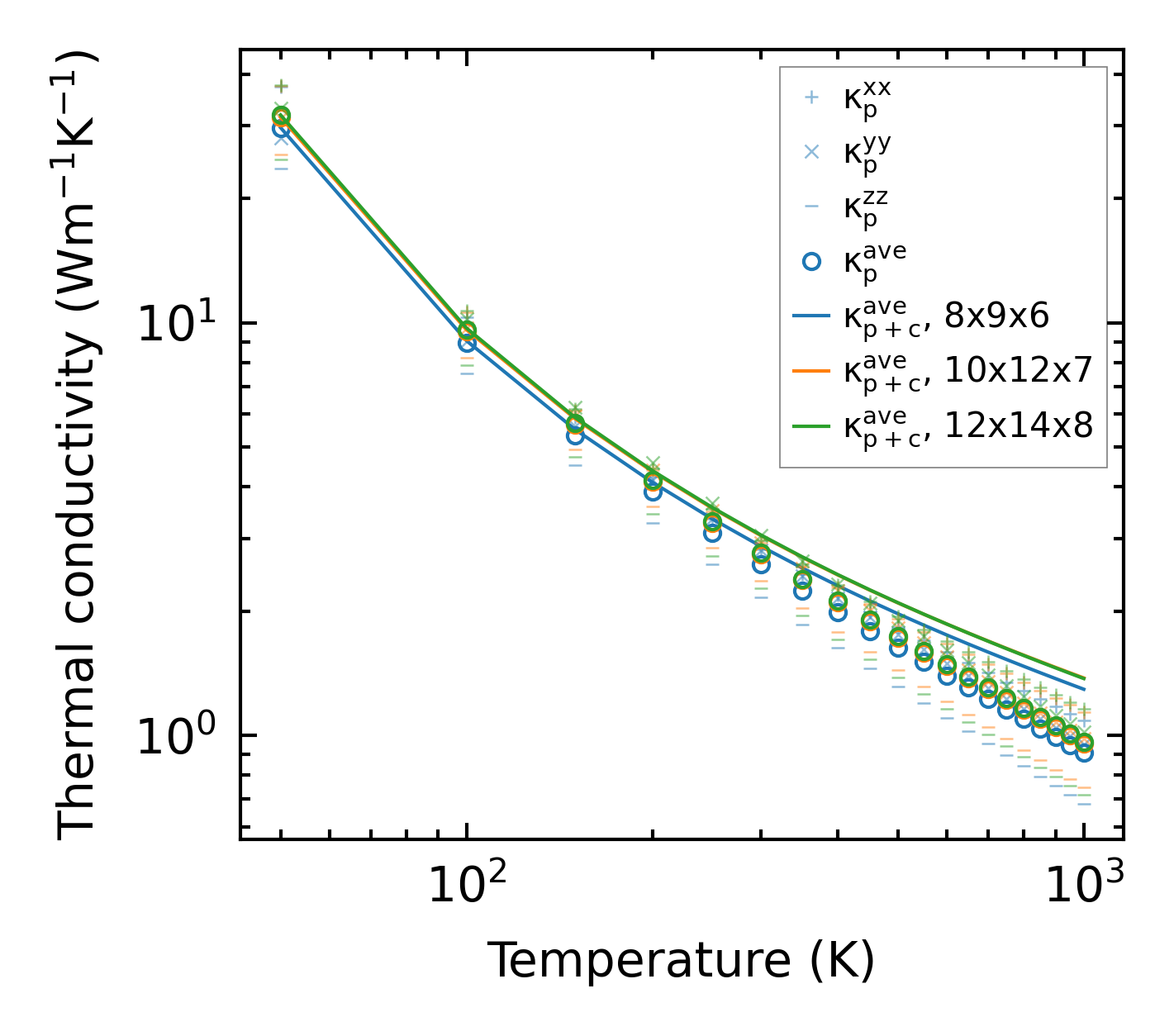
Thermal conductivity

3-phonon (LASSO) — q-mesh: 12x14x8, supercell: 2x2x1

../../_images/fig_kappa1939.png

(a) Temperature-dependent lattice thermal conductivity

../../_images/fig_kappa_vs_grain_size1012.png

(b) Peierls lattice thermal conductivity w.r.t grain size

Phonon lifetime and scattering rates

../../_images/fig_lifetime993.png

(a) Phonon lifetime due to phonon-phonon scattering

../../_images/fig_scat_rates992.png

(b) Phonon scattering rates

Cumulative and spectral thermal conductivity

../../_images/fig_cumu_frequency993.png

(a) Spectral and cumulative thermal conductivity w.r.t frequency

../../_images/fig_cumu_mfp993.png

(b) Spectral and cumulative thermal conductivity w.r.t MFP

Force constants

../../_images/fig_fc21590.png

(a) Force constants w.r.t atomic distance

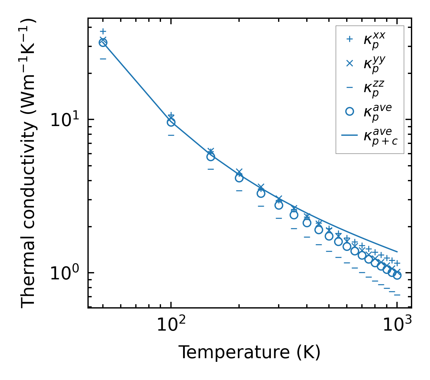
Summary

../../_images/fig_kappa1940.png

(a) Temperature-dependent lattice thermal conductivity

../../_images/fig_times2687.png

(b) Computation time