mp-861189-3/LiCuS/anharm

Harmonic properties

../../_images/fig_bandos_pr1753.png

(a) Phonon dispersion with participation ratio and DOS

../../_images/fig_thermo1753.png

(b) Thermodynamic properties

Grüneisen parameters

../../_images/fig_gru_all997.png

(a) Grüneisen parameters

../../_images/fig_gruneisen997.png

(b) Phonon dispersion with Grüneisen parameters

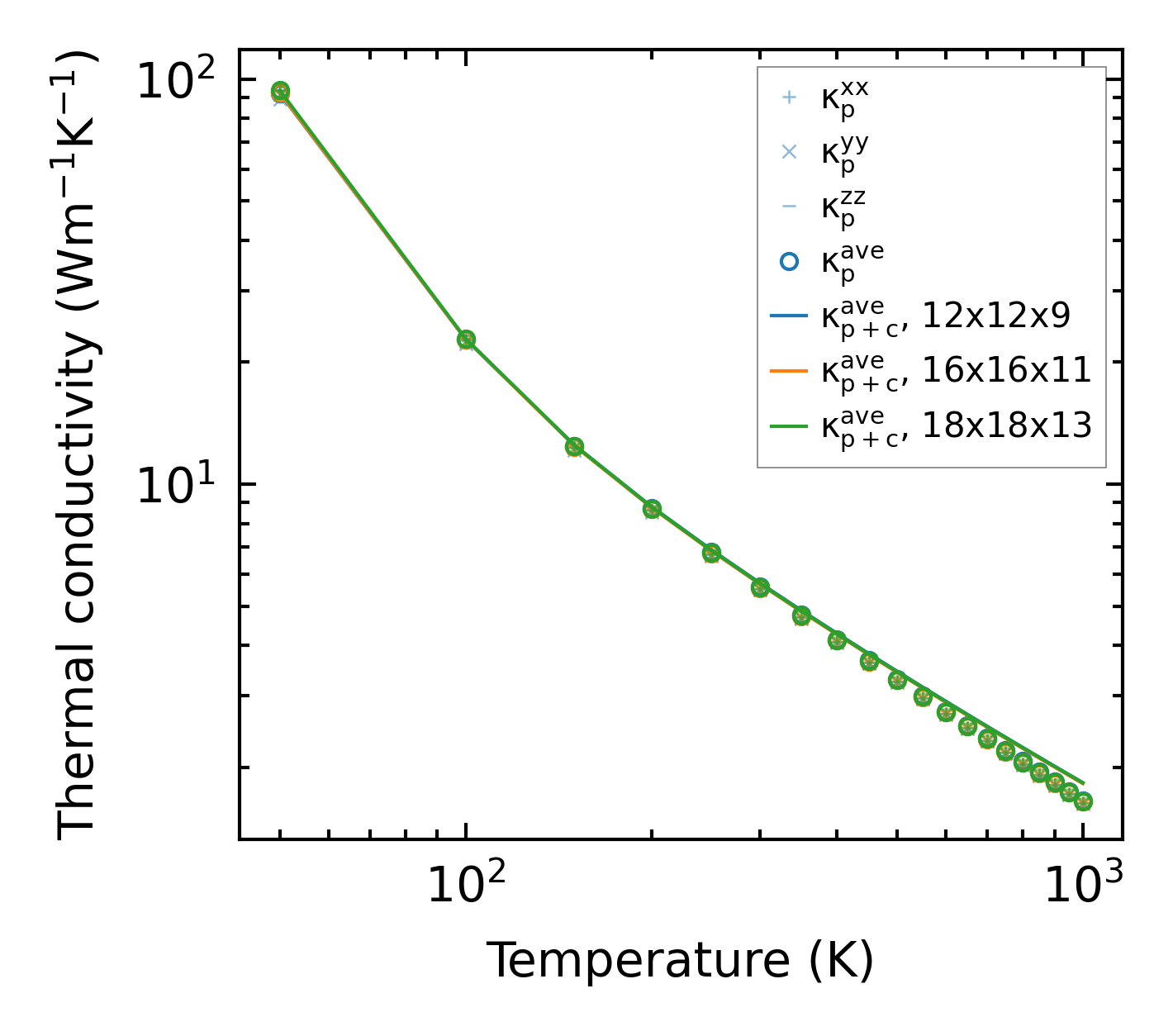
Thermal conductivity

3-phonon (LASSO) — q-mesh: 18x18x13, supercell: 4x3x2

../../_images/fig_kappa1933.png

(a) Temperature-dependent lattice thermal conductivity

../../_images/fig_kappa_vs_grain_size1009.png

(b) Peierls lattice thermal conductivity w.r.t grain size

Phonon lifetime and scattering rates

../../_images/fig_lifetime990.png

(a) Phonon lifetime due to phonon-phonon scattering

../../_images/fig_scat_rates989.png

(b) Phonon scattering rates

Cumulative and spectral thermal conductivity

../../_images/fig_cumu_frequency990.png

(a) Spectral and cumulative thermal conductivity w.r.t frequency

../../_images/fig_cumu_mfp990.png

(b) Spectral and cumulative thermal conductivity w.r.t MFP

Force constants

../../_images/fig_fc21585.png

(a) Force constants w.r.t atomic distance

Summary

../../_images/fig_kappa1934.png

(a) Temperature-dependent lattice thermal conductivity

../../_images/fig_times2675.png

(b) Computation time