mp-861189-2/LiCuS/anharm

Harmonic properties

../../_images/fig_bandos_pr1752.png

(a) Phonon dispersion with participation ratio and DOS

../../_images/fig_thermo1752.png

(b) Thermodynamic properties

Grüneisen parameters

../../_images/fig_gru_all996.png

(a) Grüneisen parameters

../../_images/fig_gruneisen996.png

(b) Phonon dispersion with Grüneisen parameters

Thermal conductivity

3-phonon (LASSO) — q-mesh: 18x18x13, supercell: 4x3x2

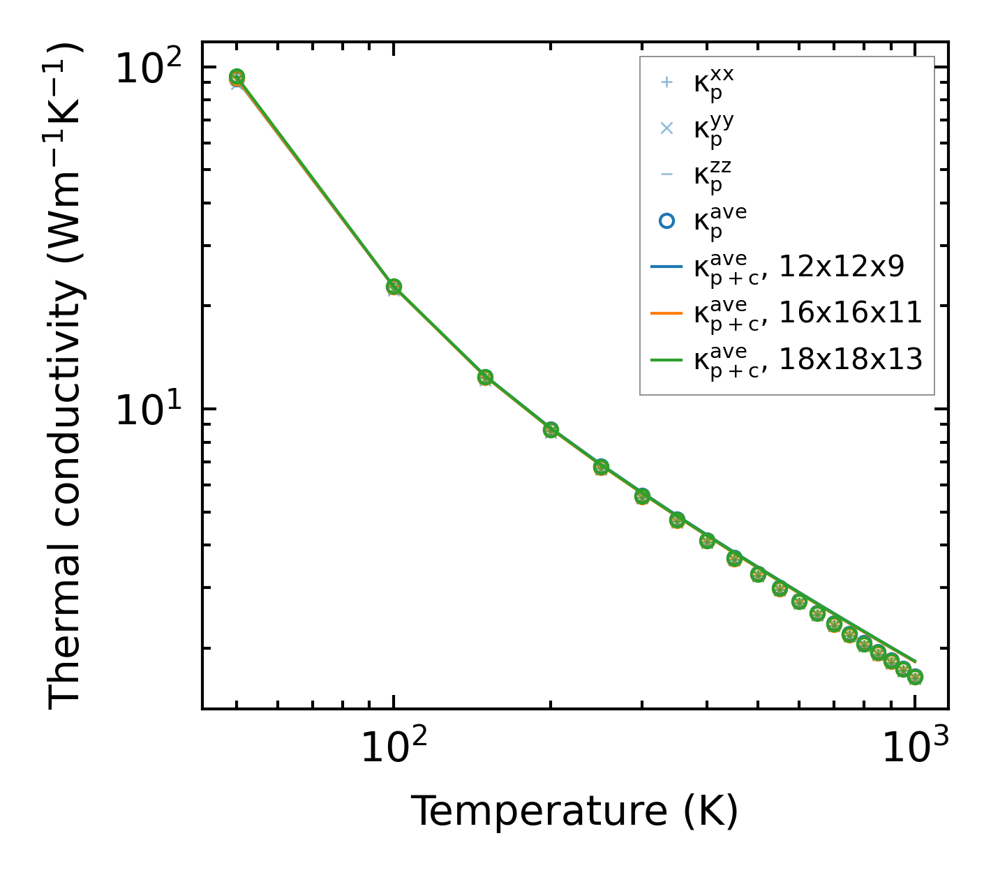
../../_images/fig_kappa1931.png

(a) Temperature-dependent lattice thermal conductivity

../../_images/fig_kappa_vs_grain_size1008.png

(b) Peierls lattice thermal conductivity w.r.t grain size

Phonon lifetime and scattering rates

../../_images/fig_lifetime989.png

(a) Phonon lifetime due to phonon-phonon scattering

../../_images/fig_scat_rates988.png

(b) Phonon scattering rates

Cumulative and spectral thermal conductivity

../../_images/fig_cumu_frequency989.png

(a) Spectral and cumulative thermal conductivity w.r.t frequency

../../_images/fig_cumu_mfp989.png

(b) Spectral and cumulative thermal conductivity w.r.t MFP

Force constants

../../_images/fig_fc21584.png

(a) Force constants w.r.t atomic distance

Summary

../../_images/fig_kappa1932.png

(a) Temperature-dependent lattice thermal conductivity

../../_images/fig_times2674.png

(b) Computation time