mp-861057/Ca2Tl2O5/anharm

Harmonic properties

../../_images/fig_bandos_pr1750.png

(a) Phonon dispersion with participation ratio and DOS

../../_images/fig_thermo1750.png

(b) Thermodynamic properties

Grüneisen parameters

../../_images/fig_gru_all994.png

(a) Grüneisen parameters

../../_images/fig_gruneisen994.png

(b) Phonon dispersion with Grüneisen parameters

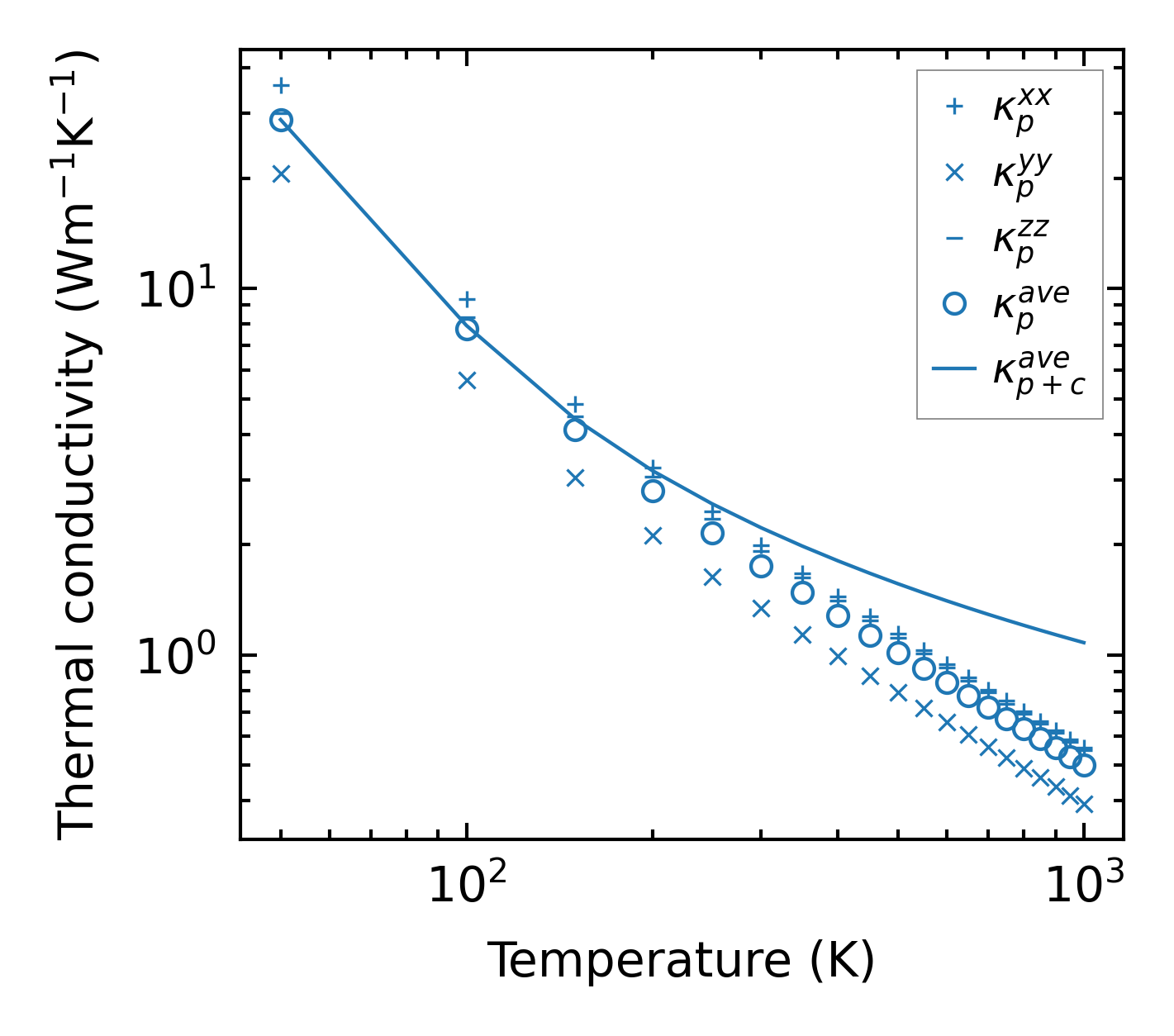
Thermal conductivity

3-phonon (LASSO) — q-mesh: 12x5x10, supercell: 2x1x2

../../_images/fig_kappa1927.png

(a) Temperature-dependent lattice thermal conductivity

../../_images/fig_kappa_vs_grain_size1006.png

(b) Peierls lattice thermal conductivity w.r.t grain size

Phonon lifetime and scattering rates

../../_images/fig_lifetime987.png

(a) Phonon lifetime due to phonon-phonon scattering

../../_images/fig_scat_rates986.png

(b) Phonon scattering rates

Cumulative and spectral thermal conductivity

../../_images/fig_cumu_frequency987.png

(a) Spectral and cumulative thermal conductivity w.r.t frequency

../../_images/fig_cumu_mfp987.png

(b) Spectral and cumulative thermal conductivity w.r.t MFP

Force constants

../../_images/fig_fc21582.png

(a) Force constants w.r.t atomic distance

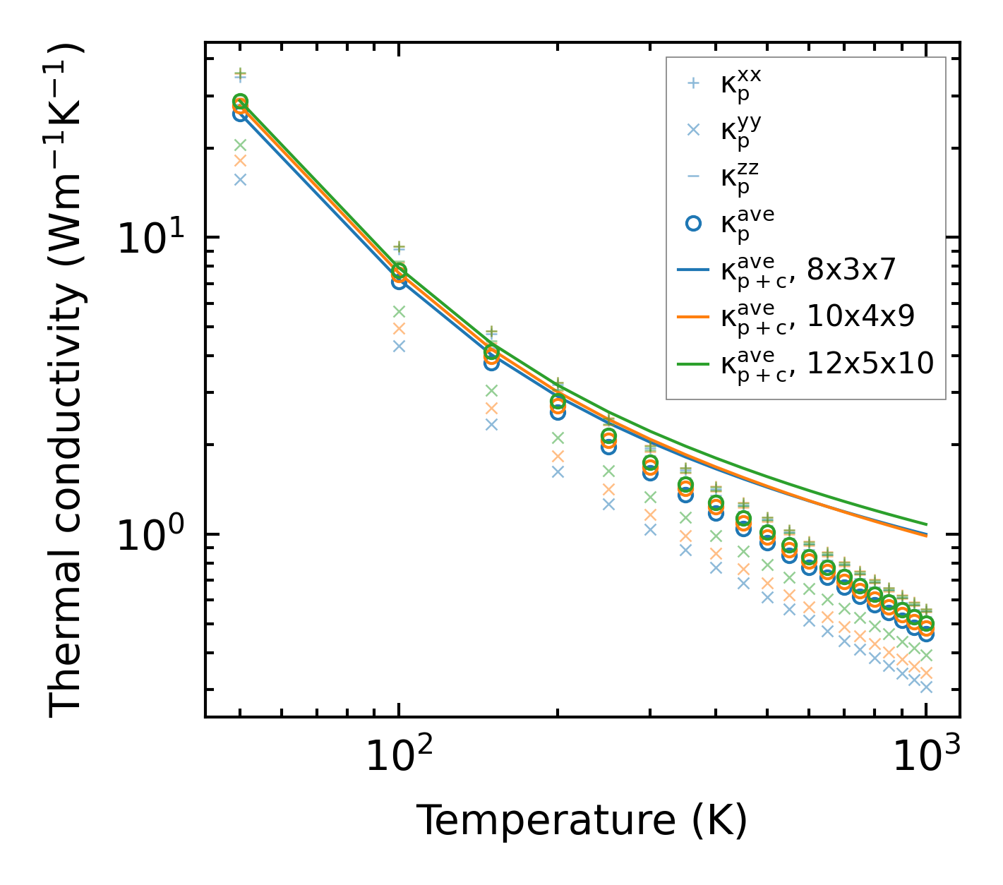
Summary

../../_images/fig_kappa1928.png

(a) Temperature-dependent lattice thermal conductivity

../../_images/fig_times2672.png

(b) Computation time