mp-861944/KNaPrTaO5/anharm

Harmonic properties

../../_images/fig_bandos_pr1774.png

(a) Phonon dispersion with participation ratio and DOS

../../_images/fig_thermo1774.png

(b) Thermodynamic properties

Grüneisen parameters

../../_images/fig_gru_all1008.png

(a) Grüneisen parameters

../../_images/fig_gruneisen1008.png

(b) Phonon dispersion with Grüneisen parameters

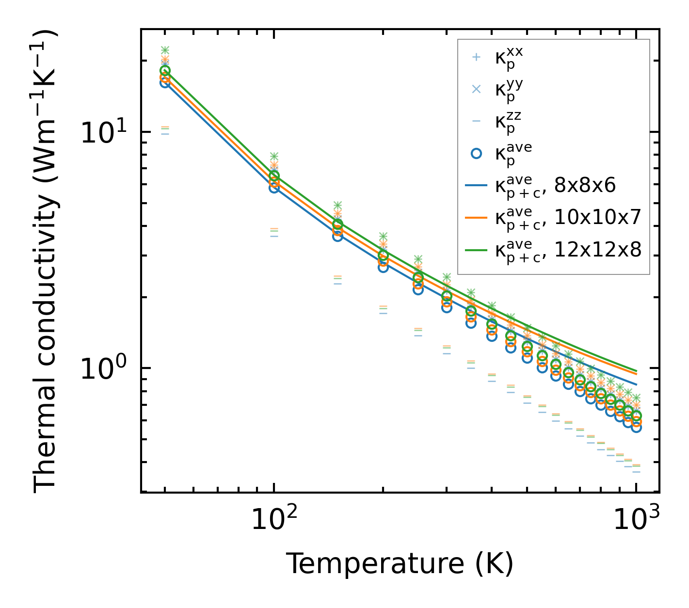
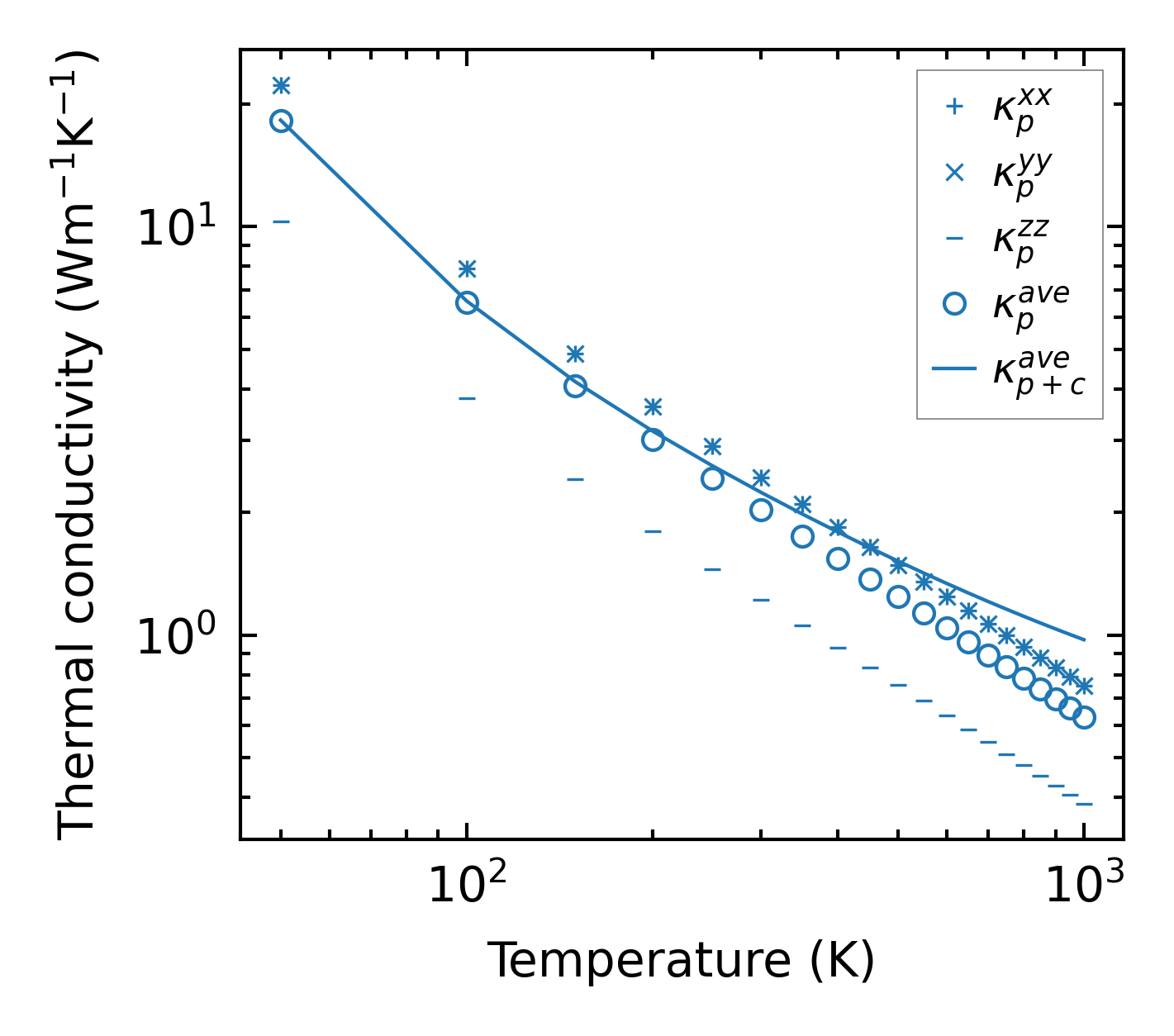
Thermal conductivity

3-phonon (LASSO) — q-mesh: 12x12x8, supercell: 2x2x2

../../_images/fig_kappa1953.png

(a) Temperature-dependent lattice thermal conductivity

../../_images/fig_kappa_vs_grain_size1019.png

(b) Peierls lattice thermal conductivity w.r.t grain size

Phonon lifetime and scattering rates

../../_images/fig_lifetime1000.png

(a) Phonon lifetime due to phonon-phonon scattering

../../_images/fig_scat_rates999.png

(b) Phonon scattering rates

Cumulative and spectral thermal conductivity

../../_images/fig_cumu_frequency1000.png

(a) Spectral and cumulative thermal conductivity w.r.t frequency

../../_images/fig_cumu_mfp1000.png

(b) Spectral and cumulative thermal conductivity w.r.t MFP

Force constants

../../_images/fig_fc21604.png

(a) Force constants w.r.t atomic distance

Summary

../../_images/fig_kappa1954.png

(a) Temperature-dependent lattice thermal conductivity

../../_images/fig_times2716.png

(b) Computation time